网站首页  词典首页


请输入您要查询的字词:

 

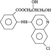
字词 格拉非宁
类别 中英文字词句释义及详细解析
释义 格拉非宁

C19H17ClN2O4=372.81

CAS-3820-67-5

N-(7-氯-4-喹啉基)邻氨基苯甲酸2,3-二羟丙酯。

2,3-Dihydroxypropyl N-(7-chloro-4-quinolyl)anthranilate.

2,3-二羟基丙基-2-(7-氯-4-喹啉基)氨基苯甲酸酯。

2,3-Dihydroxypropyl-2-(7-chloro-4-quinolinyl)aminobenzoate.

镇痛药。

Glafenine,R 1707,Glaphenine,Glifan,Glifanan.INN,DCF,JAN,USAN,MI.

随便看

 

离鸟网收录3541549条中英文词条,其功能与新华字典、现代汉语词典、牛津高阶英汉词典等各类中英文词典类似,基本涵盖了全部常用中英文字词句的读音、释义及用法,是语言学习和写作的有利工具。

 

Copyright © 2004-2024 vtrois.com All Rights Reserved
更新时间:2026/4/7 14:33:10