格洛莫南
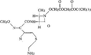
C18H25N5O8S=471.49 CAS-90850-05-8 [2S-[2α,3β(Z)]]-[[3-[[(2-氨基-4-噻唑基)(甲氧亚胺基)乙酰]氨基]-2-甲基-4-氧代-1-氮杂环丁烷基]氧]-2-(1,1-二甲基乙氧)-2-氧代乙基,醋酸酯。 [2S-[2α,3β(Z)]]-[[3-[[(2-Amino-4-thiazolyl)(methoxyimino)acetyl]amino]-2-methyl-4-oxo-1-azetidinyl]oxy]-2-(1,1-dimethylethoxy)-2-oxoethyl ester,acetic acid. [[(2S,3S)-3-[(2-氨基-4-噻唑基)乙醛酰胺基]-2-甲基-4-氧代-1-氮-杂环丁烷基]氧]醋酸与32-(Z)-(O甲基肟,叔-丁基甘醇酸生成的酯。 [[(2S,3S)-3-[(2-Amino-4-thiazolyl)glyoxy lamido]-2-methyl-4-oxo-1-azetidinyl]oxy]acetic acid,ester with tert-butyl glycolate,32-(Z)-(O-methyloxime). 抗生素类药。 Gloximonam,SQ 82531. INN,USAN.  |