网站首页  词典首页


请输入您要查询的字词:

 

字词 格点法
类别 中英文字词句释义及详细解析
释义 格点法

亦称网点板法。

一种利用简单工具量算面积的方法。以等距分布(1mm或2mm)有点的透明模片为工具,运用与方格法相类同的方法量算面积。

所不同的是方格法通过查点格数计算面积,而格点法主要通过查点点数来计算面积。格点法量算面积主要依据的是格点多边形面积公式,即

式中N为图形面积计积点数;n为落在图形界线以内的点数;m为落在图形界线上的点数。

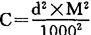
量算面积的步骤为:(1)确定格点点值,即每一点代表实地的面积。计算公式为:

式中C为单点值;d为点与点之间的间距(mm);M为地形图比例尺分母。

(2)蒙图。蒙图应当是随机的,且要重复一次。(3)清点点数。

(4)面积计算,其公式为:

P=N·C

随便看

 

离鸟网收录3541549条中英文词条,其功能与新华字典、现代汉语词典、牛津高阶英汉词典等各类中英文词典类似,基本涵盖了全部常用中英文字词句的读音、释义及用法,是语言学习和写作的有利工具。

 

Copyright © 2004-2024 vtrois.com All Rights Reserved
更新时间:2026/4/7 16:17:51