网站首页  词典首页


请输入您要查询的字词:

 

字词 桂丙齐特[中]
类别 中英文字词句释义及详细解析
释义 桂丙齐特[中]

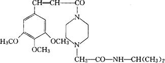
C21H31N3O5=405.49

CAS-23887-47-0

CAS-26328-00-7(maleate)

N-异丙基-4-(3,4,5-三甲氧肉桂酰)-1-哌嗪乙酰胺。

N-Isopropyl-4-(3,4,5-trimethoxycinnamoyl)-1-piperazineacetamide.

冠脉扩张药。治疗心绞痛和动脉炎。

肉桂哌丙胺。

Cinpropazide,Cinpropazidium.

INN,USAN.

随便看

 

离鸟网收录3541549条中英文词条,其功能与新华字典、现代汉语词典、牛津高阶英汉词典等各类中英文词典类似,基本涵盖了全部常用中英文字词句的读音、释义及用法,是语言学习和写作的有利工具。

 

Copyright © 2004-2024 vtrois.com All Rights Reserved
更新时间:2026/4/5 17:20:51