网站首页  词典首页


请输入您要查询的字词:

 

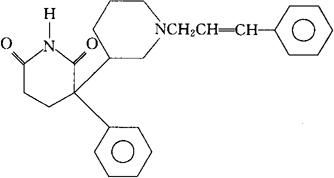
字词 桂哌林
类别 中英文字词句释义及详细解析
释义 桂哌林

C25H28N2O2=388.51

CAS-14796-24-8

3-苯基-1′-(3-苯基-2-丙烯基)-[3,4′-联哌啶]-2,6-二酮。

3-Phenyl-1′-(3-phenyl-2-propenyl)-[3,4′-bipiperidine]-2,6-dione.

2-(1-肉桂基-4-哌啶基)-2-苯基戊二酰亚胺。

2-(1-Cinnamy1-4-piperidyl)-2-phenylglutarimide.

安定药。用于抗精神病、精神抑制。

桂双哌酮,丙烯导眠能。

Cinperene,R 5046.

INN,USAN.

随便看

 

离鸟网收录3541549条中英文词条,其功能与新华字典、现代汉语词典、牛津高阶英汉词典等各类中英文词典类似,基本涵盖了全部常用中英文字词句的读音、释义及用法,是语言学习和写作的有利工具。

 

Copyright © 2004-2024 vtrois.com All Rights Reserved
更新时间:2026/4/9 15:52:27