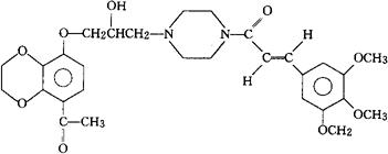
桂帕地尔
C29H36N2O9=556.61 CAS-69118-25-8 α-[[(8-乙酰-1,4-苯并二噁烷-5-基)氧]甲基]-4-(3,4,5-三甲氧肉桂酰)-1-哌嗪乙醇。 α-[[(8-Acetyl-1,4-benzodioxan-5-yl)oxy]methyl]-4-(3,4,5-trimethoxycinnamoyl)-1-piperazineethanol. α-[[(8-乙酰-2,3-二氢-1,4-苯并二氧六环-5-基)氧]甲基]-4-[1-氧代-3-(3,4,5-三甲氧苯基)-2-丙烯基]-1-哌嗪乙醇。 α-[[(8-Acetyl-2,3-dihydio-1,4-benzodioxin-5-yl]oxy]-methyl]-4-[1-oxo-3-(3,4,5-trimethoxyphenyl)-2-propenyl]-1-piperazineethanol. 血管扩张药。 治疗心绞痛。 西奈帕克地。 Cinepaxadil. INN,USAN. 
|