网站首页  词典首页


请输入您要查询的字词:

 

字词 案辊出侧水楔的临界角计算
类别 中英文字词句释义及详细解析
释义 案辊出侧水楔的临界角计算

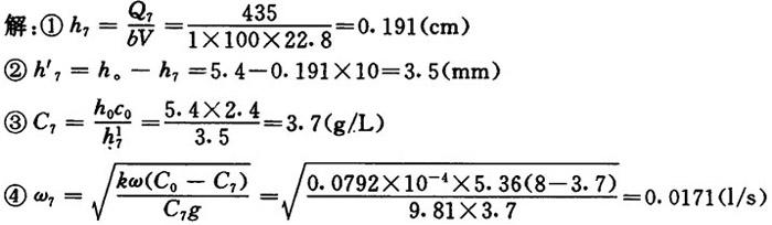
【公式】

式中 ωn——临界角(1/S)

ω——案辊的角速度(1/s)

K——浆料的过滤系数(m/s)

C0′——纤维沉积层的浓度(g/L)

其它同上

【例】 经试验,已知包括成形箱和头7只案辊在内的总流量为Q7=435cm3/s,网上的纸页宽度b=1m,网速V=22.8cm/s,喷浆出口浆料层的初始厚度h0=5.4mm。初始浓度c0=2.4g/L,浆料的过滤系数k=0.0792×10-4m/s,案辊的角速度ω=5.361/s,直径d=80mm,纤维沉积层的浓度c0′=8g/L,求:

❶ 第7只案辊滤水层厚度h7

❷ 第7只案辊上的浆料层厚度

❸ 第7只案辊上的浆料浓度C7

❹ 第7只案辊出侧水楔的临界角

随便看

 

离鸟网收录3541549条中英文词条,其功能与新华字典、现代汉语词典、牛津高阶英汉词典等各类中英文词典类似,基本涵盖了全部常用中英文字词句的读音、释义及用法,是语言学习和写作的有利工具。

 

Copyright © 2004-2024 vtrois.com All Rights Reserved
更新时间:2026/4/6 22:25:06