网站首页  词典首页


请输入您要查询的字词:

 

字词 案辊后纸料流量的计算
类别 中英文字词句释义及详细解析
释义 案辊后纸料流量的计算

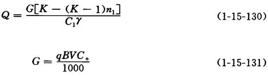
【公式】

式中 Q——案辊后纸料量(m3/min)

G——成纸产量(kg/min)

K——网部漏浆系数

n1——案辊部分漏浆量占总漏浆量的百分率(%)

C1——案辊后湿纸页干度(%)

γ——纸料容重(kg/m3),r=1000

q——纸的定量(g/m2)

B——纸的抄宽(m)

V——纸机的车速(m/min)

C0——成纸干度(%)

【例】 某1760纸机生产52g/m2凸版纸,车速为180m/min,成纸干度为93%,漏浆系数为1.5,案辊漏浆占总漏浆的90%,案辊后湿纸页干度为1.8%,求案辊后纸料量。

随便看

 

离鸟网收录3541549条中英文词条,其功能与新华字典、现代汉语词典、牛津高阶英汉词典等各类中英文词典类似,基本涵盖了全部常用中英文字词句的读音、释义及用法,是语言学习和写作的有利工具。

 

Copyright © 2004-2024 vtrois.com All Rights Reserved
更新时间:2026/4/6 22:25:12