网站首页  词典首页


请输入您要查询的字词:

 

字词 桧木
类别 中英文字词句释义及详细解析
释义 桧木

【概况】:

基源 为柏科扁柏属植物日本扁柏的叶和树脂。

扁柏属全世界有6种;中国有1种、1变种,均产台湾。另引入栽培4种。

原植物 日本扁柏Chamaecyparis obtusa(Sieb.et Zucc.)Endl.,又名白松(青岛),钝叶扁松、扁松(台湾)。

形态 乔木,高达40m,胸径达3m;树冠尖塔形,树皮淡红褐色。较平滑,裂成薄条片脱落;枝条平展,红褐色。鳞形叶较薄,先端锐尖,长1~1.2mm,绿色,小枝下面之叶被白粉,干时变红褐色或褐色,侧面之叶斜三角状卵形。球果圆球形,径10~11mm,熟时红褐色,种鳞4~5对。种子扁,倒卵圆形,两侧边缘有窄翅,稀具三棱,棱上有窄翅,红褐色,微有光泽,连翅长3~3.5mm,宽2~3mm。

(图见《中国高等植物图鉴》.第1册.318页.图636)

生境与分布 为中国特有树种。生于海拔1300~2800m的气候温和湿润、雨量多、相对湿度大、富腐殖质的黄壤、灰棕壤及黄棕壤土上。分布于中国台湾中央山脉北部和中部。。

【化学】:

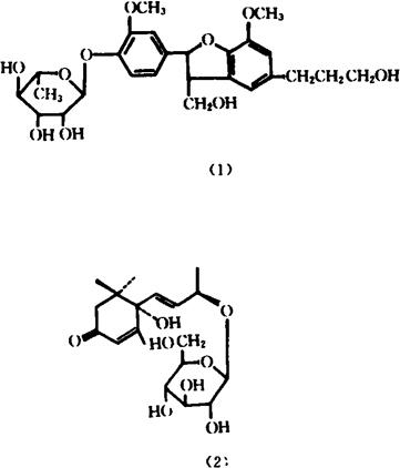
叶含挥发油[1]、α和β蒎烯、柠檬油烯、肉桂酸(Cinnamic acid)、龙脑乙酸酯(Bornylacetate)[2]。叶中含5种苯丙基化合物的甙类:松柏甙(Coniferin)、丁香甙(Syringin)、去氢双松柏醇-4-β-葡萄糖甙(Dehydrodiconiferyl alcohol-4-β-glucoside)、Citrusin C、2,3-Dihydro-2-(4′-α-L-rhamnopyranosyl-3′-methyoxy phenyl)3-hydroxymethyl-7-methoxy-5-benzofuranpropanol(1)、长春花甙(Roseoside,Vomifoliol-9-O-β-glucopyranoside)(2)、(6R,7E,9R)-9-Hydroxymegastigma-4,7-dien-3-one-9-O-β-D-glucoside,(2E,6R)-2,6-二甲基-2,7-辛二烯-6-醇-β-D-吡喃葡萄糖甙[(2E,6R)-2,-6-Dimethy-2,7-octadien-6-ol-l-O-β-D-glucopyranoside][4]

参考文献 [1] CA 1987;107∶238807w [2] CA 1988;109∶216022a [3] Agric Biol Chem 1990;54(2)∶557 [4] Agric Biol Chem 1990;54(2)∶555

【药性】:

功效 叶煎去郁、解热、利气、镇咳、利尿消毒。

主治 吐血、腹痛、淋病及肺病

随便看

 

离鸟网收录3541549条中英文词条,其功能与新华字典、现代汉语词典、牛津高阶英汉词典等各类中英文词典类似,基本涵盖了全部常用中英文字词句的读音、释义及用法,是语言学习和写作的有利工具。

 

Copyright © 2004-2024 vtrois.com All Rights Reserved
更新时间:2026/4/7 12:28:50