网站首页  词典首页


请输入您要查询的字词:

 

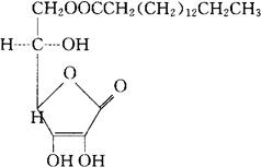
字词 棕榈酸维生素C
类别 中英文字词句释义及详细解析
释义 棕榈酸维生素C

C22H38O7=414.54

CAS-137-66-6

L-抗坏血酸,6-十六烷酸酯。

L-Ascorbic acid,6-hexadecanoate.

L-抗坏血酸6-棕榈酸酯。

L-Ascorbic acid 6-palmitate.

抗生素类药,抗氧剂。

维生素C棕榈酸酯。

Ascorbyl Palmitate.

NF,USAN.

随便看

 

离鸟网收录3541549条中英文词条,其功能与新华字典、现代汉语词典、牛津高阶英汉词典等各类中英文词典类似,基本涵盖了全部常用中英文字词句的读音、释义及用法,是语言学习和写作的有利工具。

 

Copyright © 2004-2024 vtrois.com All Rights Reserved
更新时间:2026/4/6 15:02:05