网站首页  词典首页


请输入您要查询的字词:

 

字词 棘叶
类别 中英文字词句释义及详细解析
释义 棘叶

【概况】:

基源 为鼠李科枣属植物酸枣的叶。

原植物 酸枣Ziziphus jujuba Mill.var.spinosa(Bunge)Hu ex H.F.Chow

余项参见“酸枣”条。

【化学】:

叶含槲皮素-3-O-葡萄糖甙、槲皮素-3-O-双葡萄糖甙、槲皮素-3-O-芸香糖甙、鼠李亭(Rhamnetin)和圣草酚(Eriodictyol)[2]

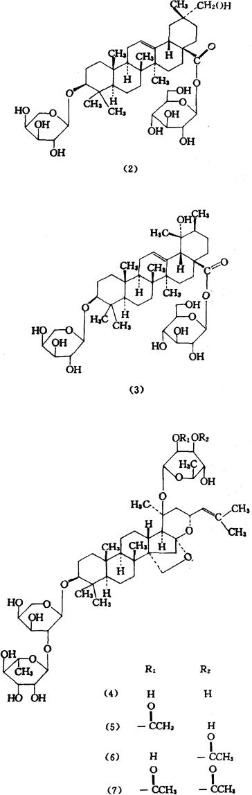
十月份的叶所含黄酮比其他月份低,为2.76%(干重),其中含芸香甙为2.257%[3]。从叶得到新的木脂素(1)、齐墩果酸糖甙

(2)和果树酸(Pomolic acid)的糖甙(3)[4],(1)在3μg/ml时能使大鼠主动脉的内源性PGI2(前列环素)提高25.3%[5]。从鲜叶又分到三个新的酸枣甙元(Jujubogenin)的糖甙(4)、(5)、(6),并对已知的枣素(Ziziphin)的原结构式[6]进行了修正(7)[7],(5)和(6)具有甜味抑制作用[7]。还含芸香甙、小檗碱、原阿片碱(Protopine)、蜡醇(Ceryl alcohol)、多量维生素C及苹果酸、酒石酸等[1]

参考文献 [1] 江苏新医学院.中药大辞典.下册.上海人民出版社,1977∶2304 [2] CA 1988;109∶187365g [3] 中国中药杂志 1992;17(2)∶81 [4] CA 1988;109∶79700d [5] Planta Med 1986;(6)∶501 [6] Tetrahedron 1988;44(1)∶61 [7] CA 1992;117∶23239h

。【药性】:

性味 《新华本草纲要》:“叶:味甘,性温。”

功效 清热,消炎,燥湿,止痒。

主治 小儿发热,疮疖,痔疮,热痱,烂脚。 《纲目》:“治胫臁疮,捣敷之,亦可晒研,麻油调敷。”

。【临床应用】:

单方应用 ❶ 《纲目》:“治胫臁疮:棘叶捣敷或研末麻油调敷。”
❷ 《中医大辞典》:“治冠心病心绞痛:棘叶制成片剂,每次5~6片(每片含生药2g),每日3次,连服8周。”

随便看

 

离鸟网收录3541549条中英文词条,其功能与新华字典、现代汉语词典、牛津高阶英汉词典等各类中英文词典类似,基本涵盖了全部常用中英文字词句的读音、释义及用法,是语言学习和写作的有利工具。

 

Copyright © 2004-2024 vtrois.com All Rights Reserved
更新时间:2026/4/7 11:48:16