网站首页  词典首页


请输入您要查询的字词:

 

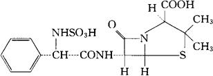
字词 森西林
类别 中英文字词句释义及详细解析
释义 森西林

C16H19N3O7S2=429.47

CAS-22164-94-9

CAS-23444-86-2(suncillin sodium)

6-[2-苯基-D-2-(磺酸氨基)乙酰胺基]青霉烷酸。

6-[2-phenyl-D-2-(sulfoamino)acetamido]penicillanic acid.

抗生素类药。

氨苄西林磺酸。

Suncilline,BL-p 1462,Antibiotic,BL-P1462.

INN.

随便看

 

离鸟网收录3541549条中英文词条,其功能与新华字典、现代汉语词典、牛津高阶英汉词典等各类中英文词典类似,基本涵盖了全部常用中英文字词句的读音、释义及用法,是语言学习和写作的有利工具。

 

Copyright © 2004-2024 vtrois.com All Rights Reserved
更新时间:2026/4/8 9:10:23