网站首页  词典首页


请输入您要查询的字词:

 

字词 椭圆形封头的计算
类别 中英文字词句释义及详细解析
释义 椭圆形封头的计算

[说明]见图2-3-2。

1.壁厚计算

式中 S——壁厚(m)

k2——椭圆形封头的形状系数,对于标准椭园形封头k2=1,其它值见表2-3-4

表2-3-4 椭圆形封头形状系数k2

c——同式2-3-9

H1——见图2-3-2

其它同前

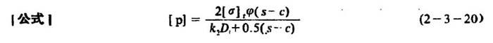
2.许用压力计算

式中 [p]——许用压力(Pa)

其它同上

随便看

 

离鸟网收录3541549条中英文词条,其功能与新华字典、现代汉语词典、牛津高阶英汉词典等各类中英文词典类似,基本涵盖了全部常用中英文字词句的读音、释义及用法,是语言学习和写作的有利工具。

 

Copyright © 2004-2024 vtrois.com All Rights Reserved
更新时间:2026/4/5 14:34:13