网站首页  词典首页


请输入您要查询的字词:

 

字词 概率变换
类别 中英文字词句释义及详细解析
释义 概率变换

假定在概率单位模型和对数单位模型中,xiβ的值越大,定性因变量yi=1的概率越大。

在这样的假定下,我们可认为yi=1的概率与xiβ的值为单调递增的关系。于是,在给定xiβ下,yi=1的条件概率函数具有累积分布函数的特性。

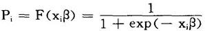
记F(Xiβ)=P(yi=1|xiβ),其中F(·)为概率分布函数。称Pi=F(xiβ)为概率变换,其中Pi为给定xiβ下,yi=1的概率。

概率单位变换为:

其中Φ(·)为标准正态分布函数。

对数单位变换为:

随便看

 

离鸟网收录3541549条中英文词条,其功能与新华字典、现代汉语词典、牛津高阶英汉词典等各类中英文词典类似,基本涵盖了全部常用中英文字词句的读音、释义及用法,是语言学习和写作的有利工具。

 

Copyright © 2004-2024 vtrois.com All Rights Reserved
更新时间:2026/5/31 23:50:55