网站首页  词典首页


请输入您要查询的字词:

 

字词 榼藤子
类别 中英文字词句释义及详细解析
释义 榼藤子

【名称出处】:《本草拾遗》

【概况】:

异名 象豆(《南方草木状》),合子(《本草拾遗》),榼子(《日华子本草》),眼镜豆(《南方主要有毒植物》)。

基源 为豆科榼藤子属植物榼藤的种子。

原植物 榼藤Entada phaseolioides(L.)Merr.

历史 本品载《本草衍义》,谓其:“紫黑色,微光,大一、二寸,圆扁。”《南方主要有毒植物》载:“眼镜豆,有毒部位是种子”。以上所述均与本种相符。

余项参见“榼藤”条。。

【化学】:

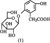
种子含榼藤子皂甙A(Entada saponin A),榼藤子皂甙B(Entada saponin B),微量生物碱、脂肪油[2]、甾醇、氨基酸[1]、2-羟基-5-丁氧基苯乙酸(2-Hydroxy-5-butoxyphenylacetic acid)、2-β-D-吡喃葡萄糖氧基-5-苯乙酸(2-β-D-Glucopyranosyloxy-5-butoxyphenylacetic acid)、榼藤子酰胺A-β-D-吡喃葡萄糖甙(Entadamide A-β-D-glucopyranoside)、2,5-二羟基苯乙酸甲酯(2,5-Dihydroxyphenylacetic acid methyl ester)[3]、榼藤精(Phaseoloidin)(1)[4]。种仁含皂甙,经酸水解生成甙元为榼藤酸(Entagenic acid)及阿拉伯糖、木糖[2];含榼藤子酰胺A(Entadamide A)[5]、3β,15α,16α-三羟基-18β-齐墩果12-烯-28-酸(3β,15α,16α-Trihydroxy18β-olean-12-en-28-oic acid)[6]、齐墩果酸(Oleanolic acid)、榼藤酸(Entagenic acid,过岗龙酸)[7,8]、榼藤子酰胺B(Entadamide B)[9]

参考文献 [1] 中国医学科学院药物研究所.中草药有效成分的研究.第1分册.人民卫生出版社,1972:402 [2] 江苏省植物研究所等.新华本草纲要.第2册 上海科学技术出版社,1991:136 [3] Phytochemistry 1991;30(11):3749 [4] Phytochemistry 1988;27(10):3259 [5] Chem Pharm Bull 1985;33:5153 [6] Chem Pharm Bull 1988;36(12):5028 [7] Tetrahedron 1967;23:1499 [8] Tetrahedron 1967;23:1505 [9] Phytochemistry 1987;26(5):1525

【药性】:

性味 涩、甘,平。

功效 解毒。

主治 便血,血痢,黄疸,脱肛,疮痔,喉痹。

❶ 《南方草木状》:“解诸药毒。”
❷ 《本草拾遗》:“主五痔,喉痹,以仁为粉,微熬,水服2~4g。”
❸ 《开宝本草》:“治小儿脱肛血痢泻血,并烧灰服,或以1枚割瓤熬研,空腹热酒服6g。”

随便看

 

离鸟网收录3541549条中英文词条,其功能与新华字典、现代汉语词典、牛津高阶英汉词典等各类中英文词典类似,基本涵盖了全部常用中英文字词句的读音、释义及用法,是语言学习和写作的有利工具。

 

Copyright © 2004-2024 vtrois.com All Rights Reserved
更新时间:2026/4/6 20:38:14