网站首页  词典首页


请输入您要查询的字词:

 

字词 樗白皮
类别 中英文字词句释义及详细解析
释义 樗白皮

【概况】:

异名 樗皮、臭椿皮、苦椿皮(《新华本草纲要》)。

基源 为苦木科臭椿属植物臭椿的树皮或根皮。

原植物 臭椿Ailanthus altissima(Mill.)Swingle(Pongelion glandulosum Pierre)

余项参见“樗叶”条。

。【生药】:

采集 春季采收。

挖取树根,刮去外面粗皮,以木棒轻轻捶之,使皮部与木部松离,然后剥取内皮,仰面晒干;或剥取干皮。

鉴别

性状 干燥根皮形状不规则,多呈扁平的块片状,或稍向内卷而成瓦片状或卷筒状,其大小、长短、厚薄均相差很大,长3~10cm或更长,宽1~5cm,厚5~10mm。

外表面黄棕色或稍浅,粗糙,皮孔明显,纵向延长,突起而微反卷,有时外面栓皮剥落,而露出黄白色皮层;内表面淡黄色至淡棕黄色,较平坦,密布排列较整齐的点状突起或点线状纵突起,有时破裂成小孔状。

质坚脆,折断面不平坦,外侧现颗粒状,内侧微显纤维性,棕黄色。

具油腥臭气,折断后较强裂,味甚苦而持久。干燥干皮较根皮厚,呈不规则块状,大小不等,厚1.5~2cm。外皮暗灰色至灰黑色,极粗糙不平,有裂纹,有时刮栓皮,露出淡棕黄色皮层。其它与根皮类同。

显微 粉末淡灰黄色。

❶ 石细胞较多,大多成群,或与纤维连结,也有单个散离,淡黄色。呈类圆形、类方形、类长方形、类多角形或纺锤形,有的边缘尖突,直径24~96μm,长至150μm,壁甚厚,约至34μm,有的厚薄不匀,或三边较厚一边菲薄,胞腔中常含草酸钙方晶。
❷ 纤维较多。

大多碎断,平直或稍弯曲,边缘平整或微波状,直径20~40μm,壁极厚,木化,孔沟不明显,胞腔狭细或线形。
❸ 草酸钙簇晶极多,直径15~16μm。

❹ 草酸钙方晶大多呈多面形或双锥形,直径11~48μm.(图见徐国钧等《中药材粉末显微鉴定》.649页.图318)

加工炮制 樗白皮,取原药材,除去粗皮,洗净,润透,切丝或厚片,干燥。 炒樗白皮 取樗白皮丝或片置锅内,用文火加热,炒至表面呈黄色,取出放凉。

麸炒樗白皮 取麸皮撒在热锅内,加热至冒烟时,加入樗白皮丝或片。拌炒至表面呈深黄色时,取出,筛去麸皮,放凉。

每樗白皮丝或片100kg,用麸皮10kg。 醋樗白皮 取樗白皮丝或片,加入米醋拌匀,稍闷,置锅内,用文火炙炒至表面呈黄色时,取出,放凉。

每樗白皮丝或片100kg,用米醋20kg。

贮藏 置通风干燥处,防蛀。醋樗白皮,密闭,置于通风干燥处。

【化学】:

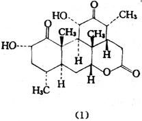
树皮含臭椿苦酮(Ailanthone)、臭椿苦内酯(Amarolide)(1)[2]、乙酰臭椿苦内酯(Acetylamarolide)[3]、苦木苦素、新苦木苦素(Neoquassin)[4]、臭椿苦素(Ailanthin)、甾醇、皂甙、羟基香豆素甙、脂肪油、蜡醇、鞣质等[5]

附 ❶ 根皮含苦味质成分、鞣质、赭朴吩[1]等。
❷ 根及树干含苦木苦素(Quassin)[5]
❸ 叶含槲皮素、槲皮甙、异槲皮甙等。

❹ 种子含油约35%,另含2,6-二甲氧基苯醌(2,6-Dimethoxy-p-benzoquinone)、臭椿内酯、查杷任酮(Chaparinone)、苦木苦素等[6]

另参见“椿皮”条。

参考文献 [1] 浙江天目山药用植物志.上集.1965∶299 [2] Tetrahedron Lett 1964;(52)∶3991 [3] Tetrahedron Lett 1965;(27)∶2273 [4] Boll Chem Farm 1965;104(8)∶485 [5] J Applied Chem(U.S.S.R.)1936;9∶2050(C A 1938;31∶24597) [6] 江苏省植物研究所等.新华本草纲要.第1册.上海科学技术出版社,1988∶278

【药性】:

性味 苦、涩,寒。

❶ 《本草拾遗》:“味苦,有小毒。”
❷ 《本草衍义补遗》:“性凉。”
❸ 《本草从新》:“苦、涩,寒。”

归经 入胃、大肠经。 ❶ 《雷公炮制药性解》:“入心、肝、脾三经。”
❷ 《要药分剂》:“入胃、大肠二经。”
❸ 《本草再新》:“入肺、胃二经。”

功效 除热,燥湿,涩肠,止血,杀虫。

主治 久痢,久泻,肠风便血,崩漏,带下,遗精,白浊,蛔虫。

❶ 《药性论》:“治赤白痢,肠滑,痔疮泻血不止。”
❷ 《食疗本草》:“主疳痢,杀蛔虫。”
❸ 《本草拾遗》:“主赤白久痢,疳虫,去疥,主下血。


❹ 《日华子本草》:“止泻及肠风,能缩小便。”
❺ 《本草衍义补遗》:“能涩血。”
❻ 朱震亨:“治赤白浊,赤白带,湿气下痢,精滑梦遗,燥下湿,去肺胃陈积之痰。”
❼ 《医林纂要》∶“泄肺逆,燥脾湿,行气分湿热。”
❽ 《本草再新》:“去肺胃之痰火。”
❾ 《现代实用中药》:“内服治妇人子宫出血及产后出血、子宫炎、肠炎、赤痢、肠出血、膀胱及尿道炎症、淋病等,有消炎、制泌、止血之功;又治神经痛及肝脏、脾脏等之疾患。”
❿ 《中草药学》:“主治:痢疾,腹泻。湿热白带。

月经过多。

皮肤疮癣。

胃、十二指肠不定型溃疡。试治子宫癌。

用法用量 内服:煎汤,6~12g;研末或入丸、散。外用:煎水洗或熬膏涂。

使用注意 ❶ 《本草经疏》:“脾胃虚寒者不可用,崩带属肾家真阴虚者亦忌之,以其徒燥故也。凡滞下积气未尽者亦不宜用。


❷ 《食疗本草》:“若和猪肉、热面频食,则中满,盖壅经脉也。”

【临床应用】:

配伍应用 ❶ 配黄柏、白芷,治湿热带下。

❷ 配黄连、黄芩,治湿热痢疾、腹泻。
❸ 配龟板、白芍,治血热所致的月经过多、漏下不止。

方选和验方 ❶ 樗根皮散(《证治准绳》)治小儿脓血痢如鱼脑:樗根皮(炒微黄)3g,枳壳(麸炒)、黄连(微炒)、芜荑(微炒)、赤芍药各15g。为粗末,每服3g,加豆豉20粒,葱白1茎,水煎服,量儿大小加减。

❷ 樗白皮散(《杂病源流犀烛》)治大肠素虚挟风,又饮酒过度挟热,下痢脓血且痛:樗白皮、人参各30g,为末,每服9g,空腹温酒或米汤调下。
❸ 樗树根丸(《摄生众妙方》)治遗精:樗树根皮45g,黄柏、芍药(烧灰存性)各6g,良姜(烧灰存性)9g。

上为末,面糊为丸如梧桐子大。每服30丸,空心茶汤下。
❹ 如神丸(《圣济总录》)治肠风下血不止,血痢:樗根皮,不以多少,用水净洗锉碎,于透风处挂令干,杵,罗为细末,每称60g,入寒食面30g,搅拌令匀,再罗过,新汲水和丸如梧桐子大,阴干,每服20丸,先以水湿药丸令润,后于碟子内用白面滚过,水煮五七沸,倾出,用煮药水放温下,不拘时候服。

❺ 《妇人良方》:“治产后肠脱不能收拾者:樗根(取皮、焙干)30g,水1000ml,连根葱5茎,汉椒15g,同煎至600ml,去渣,倾盆内,乘热熏洗,冷则再热,1服可作5次用,洗后睡少时。忌盐、酢、酱、面、发风毒物,及用心、劳力等事。”
❻ 江西《中草药学》:“治滴虫性阴道炎:樗白皮15g,水煎服,另用千里光30g,薄荷15g,蛇床子15g,煎水,外洗。”
❼ 江西《中草药学》:“治膀胱炎及尿路感染:樗白皮、川柏、知母、白术、生甘草、泽泻、生黄芪各10g,水煎服。”
❽ 江西《中草药学》:“治痢疾:樗白皮30g,爵床9g,凤尾草15g,水煎服。”
❾ 《青岛中草药手册》:“治湿热性白带:樗白皮9g,鸡冠花9g,黄柏6g,水煎服。”
❿ 浙江中医杂志 1966;(7):“治便血:取樗根白皮120g切碎,生绿豆芽、生白萝卜各120g榨取鲜汁,混合后加水煎汁过滤,冲入黄酒适量,临睡时炖温服。小儿酌减。” ⑾加味断下渗湿汤(陕西中医 1990;(9))治带下症:樗白皮30g,生苍术、生黄柏各9g,山楂炭、赤苓各12g,猪苓、银花炭、地榆炭各6g,水煎服。

单方应用 ❶ 《仁存堂经验方》:“治下血经年:樗根白皮10g,水100ml,煎70ml,入酒50ml服。”
❷ 《陕西中草药》:“治慢性痢疾:樗白皮120g,焙干研粉,每次6g,每日2次,开水冲服。”
❸ 《陕西中草药》:“治疮癣:樗白皮适量,煎水洗患处。”
❹ 《陕西中草药》:“治痔疮:樗白皮9g,蜂蜜30g,水煎服。”
❺ 《陕西中草药》:“治赤白带:樗白皮、鸡冠花各15g,水煎服。”
❻ 《青岛中草药手册》:“治痢疾腹泻:樗白皮15g,水煎加糖调味,分2次服。”
❼ 中华内科杂志 1960;(4):“治阿米巴痢疾:取干樗根白皮100g,加水至600ml,煎汁浓缩至100ml,成为1∶1煎剂。日服3次,每次10ml,一般7天为1疗程。

临床可根据年龄、体质及病情酌予增减剂量及疗程。”
❽ 湖北科技(医药部分) 1972;(1):“治溃疡病:将臭椿树皮剥下后,除去最外一层青皮,用内面厚白皮,晒干炒成老黄色研粉,制成丸、散、片均可。日服3次,每次6~9g。”
❾ 山东医刊 1960;(10):“治蛔虫病:用50%煎剂(樗白皮煎剂),早晚各服15ml,3日为1疗程;或用丸剂,每服3g,每日4次,3~5日为1疗程。治疗前后与服药期间均不禁食油类,亦不服泻药。”

食疗 《福建药物志》:“治关节疼痛:樗白根皮30g,酒水各半,猪肚1只,同炖食。”

【医药家论述】:

❶ 李时珍《纲目》:“香者名椿,臭者名樗……,樗皮色白而臭……,入气分而性利,气分受病有郁者,宜用樗皮。”
❷ 日华子《大明本草》:“止女子血崩,产后血不止,赤带,肠风,泻血不住,肠滑泻,缩小便。”
❸ 李中梓《本草通玄》:“樗白皮,专以固摄为用,故泻痢肠风,遗浊崩带者,并主之。然必病久而滑,始为相宜,若新病蚤服,强勉固涩,必变他症而成痼疾矣。

凡用刮去粗皮,生用则能通利,酸醋炙即能固涩。


❹ 《药性大辞典》:“椿皮入血分而性涩,樗皮入气分而性利,凡血分受病不足者宜椿,气分受病有郁者宜樗。”

随便看

 

离鸟网收录3541549条中英文词条,其功能与新华字典、现代汉语词典、牛津高阶英汉词典等各类中英文词典类似,基本涵盖了全部常用中英文字词句的读音、释义及用法,是语言学习和写作的有利工具。

 

Copyright © 2004-2024 vtrois.com All Rights Reserved
更新时间:2026/5/31 19:58:29