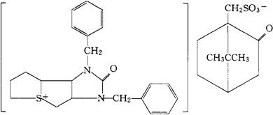
樟脑磺酸屈美沙芬[台]
C32H40N2O5S2=596.81 CAS-68-91-7 (+)-1,3-二苄基十氢-2-氧代咪唑并[4,5-c]噻吩并[1,2-a]硫醇-2-氧代-10-菠烷磺酸酯 (+)-1,3-Dibenzyldecahydro-2-oxoimidazo[4,5-c]thieno[1,2-a]thiolium-2-oxo-10-bornane sulfonate. 降血压药。 曲美芬樟磺酸盐,樟脑磺酸替奥芬,樟磺酸曲米他吩。 Trimethaphan Camsylate,Trimetaphan Camy(i)-late,Trimet(h)aphan Camphorsulfonate,Arfonad. 樟脑磺酸曲米沙芬注射液。 INN,BAN,BP,DCF,DCIT,IP,JAN,NFN,USAN,USP,MI.  |