网站首页  词典首页


请输入您要查询的字词:

 

字词 模具侧壁的变形
类别 中英文字词句释义及详细解析
释义 模具侧壁的变形

矩形模腔

依据模具的尺寸,此类模具的通常允许最大变形为0.13~0.25毫米(0.005~0.01时),其中0.1~0.2毫米(0.004~0.008时),可能是由于组合模具的模块间的间隙和模框面的伸长的缘故。为了应力设计,常取最大变形为0.025~0.05毫米(0.001~0.002时)。所需侧壁的近似厚度可由下列公式计算之:

式中:y=侧壁的变形(毫米或时)

C=常数(见表1-9)

p=最大模腔压力(公斤力/厘米2或磅力/吋2)

d=模腔总深度(厘米或时)

E=钢的弹性模量(2.1×106公斤力/厘米2或30×106磅力/吋2)

t=模腔厚度(厘米或时)

表1-9 C值

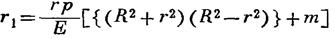
圆筒形模腔

由于注射物料的内压力而需要增大的半径,可由下式计算:

式中:rt=内半径的增加值(厘米或时)

r=原始内半径(厘米或时)

R=原始外半径(厘米或时)

m=泊松比(钢为0.25)

随便看

 

离鸟网收录3541549条中英文词条,其功能与新华字典、现代汉语词典、牛津高阶英汉词典等各类中英文词典类似,基本涵盖了全部常用中英文字词句的读音、释义及用法,是语言学习和写作的有利工具。

 

Copyright © 2004-2024 vtrois.com All Rights Reserved
更新时间:2026/4/8 6:10:44