模具冷却
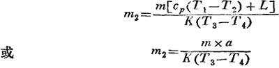
每小时模具排出的热量 此热量以Qc表示之,计量单位为卡。 因此,Qc=m[cp(T1-T2)+L] 式中:m=每小时注射入模的塑料重量(克或磅) cp=聚合物的比热容(卡/克℃或英国热单位/磅℉) T1=聚合物的注射温度(℃或℉) T2=模具温度(℃或℉) L=聚合物的熔化潜热(卡/克或英国热单位/磅) 此外,若已知塑化物料单位重量的总热量,则: Qc=m×a 式中:a=塑化物料的总热含量(卡/克或英国热单位/磅) m=物料重量(如上述) a的代表性数值列于表1-6。每小时散热所需冷却水量由下列公式计算: Q=Km2(T3-T4) 式中:m2=流经模具的水量(克/时或磅/时) T3=出口水温(℃或℉) T4=入口水温(℃或℉) Q=排热率(卡/时或英国热单位/时) K=热传导效率的修正常数。 这种常数的某些示例数值为: 对于冷却道钻在模腔板或阳模芯的情况 K=0.64 对于冷却道钻在托模板的情况 K=0.5 对于采用镶嵌铜管的冷却道 K=0.1 就有效的冷却而言,Qc=Q 因此:  |