网站首页  词典首页


请输入您要查询的字词:

 

字词 橡胶带单位长度的重量计算
类别 中英文字词句释义及详细解析
释义 橡胶带单位长度的重量计算

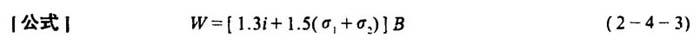
[说明]橡胶带单位长度的重量可根据其宽度、层数和复合面厚度来确定,一般可采用下式近似计算。

式中 W——橡胶带单位长度的重量(kg/m)

δ1、δ2——橡胶带工作面和非工作面的橡胶复面厚度(mm)

B——橡胶带宽度(m)

i——层数

随便看

 

离鸟网收录3541549条中英文词条,其功能与新华字典、现代汉语词典、牛津高阶英汉词典等各类中英文词典类似,基本涵盖了全部常用中英文字词句的读音、释义及用法,是语言学习和写作的有利工具。

 

Copyright © 2004-2024 vtrois.com All Rights Reserved
更新时间:2026/5/30 21:06:44