网站首页  词典首页


请输入您要查询的字词:

 

字词 檵花叶
类别 中英文字词句释义及详细解析
释义 檵花叶

【概况】:

基源 为金缕梅科檵木属植物檵木的叶及茎叶。

原植物 檵木Loropetalum chinense(R.Br.)()liv.

余项参见“檵花”条。

【化学】:

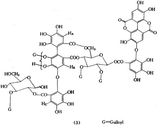
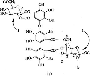
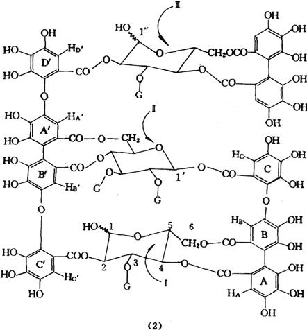
叶含槲皮素、没食子酸、玫瑰素D、E(Rugosin D,E),铺地草素B(Prostratin B)[1],叶中的低聚(二三糖)可水解鞣质,还有檵木素A(1)、B(2)、C(3)(Loropetalin A、B、C),山茶素B(Camellin B)、玫瑰素G(Rugosin G);4种单糖逆没食子酸鞣质:Gemin D、Rugosin A,Tellimagrandins Ⅰ、Ⅱ;一种没食子酰葡萄糖:1、2、6-三-O-没食子酰-β-D-葡萄糖,1、3、4、6-四-O-没食子酰基-β-D-葡萄糖,1、2、3、6-四-O-没食子酰-β-D-葡萄糖,1、2、3、4、6-五-O-没食子酰-β-D-葡萄糖,α-O-双没食子酰-1、3、4、6-四-O-没食子酰β-D-葡萄糖;二种黄酮:杨梅甙(Myricitrin)杨梅素-3-葡萄糖甙;以及三种奎宁酸衍生物:3-O-顺及反香豆酰奎宁酸(3-O-cis-及trans-Coumaroylquinieacid)和绿原酸(Chlorogeni acid)[2]。又以檵花叶中得到檵木素D(Loropetalin D,即3,4′,5,7-四羟基-3-O-葡萄糖-2”,6″-二没食子酸酯,亦称2″,6″-二没食子酸基紫云英花甙),2″-O-没食子酰基紫云英甙(Astragalin-2″-O-gallate)及6″-O-没食子酰基紫云英花甙[3]

参考文献 [1] Chem Pharm Bull 1990;38(12)∶3296 [2] Phytochemistry,1993;32(5)∶1287 [3] Phytochemisty,1997;46(2)∶389

【药理】:

❶ 对心血管作用 檵花叶中提得成分檵木黄酮,并证明为槲皮素,本品3.5mg/kg iv,能明显增加麻醉猫冠状窦流量,减少心肌氧利用率,犬下肢灌流,以0.05mg/kg,注入下肢血管,使下肢血管阻力下降,表明有直接扩张血管的作用[1]
❷ 对子宫作用 檵木根茎叶煎剂(5g/ml)0.5ml宫体注射,半小时1次,连续3次,可使孕兔宫缩加强,第2天im 4ml,第3天兔早产,仔兔未成活[2]

参考文献 [1] 中草药通讯 1977;(2)∶29 [2] 中草药通讯 1972;(5)∶47

【药性】:

性味 甘、苦,凉。

❶ 《福建民间草药》:“甘、苦,微温。”
❷ 《贵州民间药物》:“涩,凉。”

功效 清热止泻,活血止血。

主治 治暑热泻痢,扭闪伤筋,创伤出血,目痛,喉痛。

❶ 《植物名实图考》:“捣烂敷刀刺伤,能止血。”
❷ 《湖南药物志》:“治中暑,喉痛,风热目痛。”

用法用量 内服:煎汤,15~30g;或捣汁。外用:捣敷、煎水洗或含漱。

。【临床应用】:

方选和验方 ❶ 江西《中草药学》:“治创伤出血:檵木叶6g,杨梅树二层皮6g,紫薇叶6g,自然铜3g,冰片3g。共研极细末,外用。”
❷ 新医药资料 1971;(11):“治各种类型子宫出血:檵木叶30g,大血藤30g,水煎,每日1剂,2次分服。”
❸ 胃溃疡冲剂(《中草药学》)治胃炎及胃十二指肠溃疡引起的疼痛和隐性出血:檵木叶小枝50kg,楤木75kg,红木香25kg,水煎2次合并煎液;另取蒲公英25kg,水煎,取煎液与檵木煎液合并,过滤,滤液浓缩,加入糖精钠50g,浓缩成稠膏,再加适量糊精拌匀烘干(干燥后总重量应得23kg),磨成细粉,加水制成颗粒,干燥后包装,每袋14g。服法:每日2次,每次半袋。

单方应用 ❶ 《江西民间草药》:“治暑泻:檵花茎叶21g。水煎服。


❷ 《江西民间草药》:“治痢疾:檵木茎叶21g。水煎,红痢加白糖、白痢和红糖15g,调服。


❸ 《福建民间草药》:“治肚子作痛:鲜檵花叶和籽6~12g。搓成团。饭前用开水送服。”
❹ 《福建民间草药》:“治闪筋:鲜檵花叶30g,加烧酒捣烂,绞汁50ml,日服1~2次。”
❺ 《福建民间草药》:“治外伤出血:鲜檵花叶30g。捣烂外敷。”
❻ 《贵州民间药物》:“治刀伤初起或已溃烂者,热天最适宜:初伤者用茶叶水先洗,檵花嫩叶捣烂。若已化脓流黄水者,用此药30g,研为细末,调菜油涂上。”
❼ 《福建民间草药》:“治胼胝:鲜檵花叶30g,加红糖捣匀外敷。”
❽ 《江西草药》:“治烧伤:檵木叶烧灰存性,麻油调涂。”
❾ 江西《草药手册》:“治紫斑病:檵木鲜叶30g。捣烂,酌加开水擂取汁服。


❿ 湖南科技情报·医药卫生 1971;(1):“用作手术皮肤消毒剂:檵花(叶茎均可)500g,加水5000ml,文火浓缩成500ml,过滤备用。” ⑾《福建省中草药新医疗法资料选编,1971》:“治烧伤:取檵木鲜叶1000g洗净捣烂,加第2遍淘米水3000g,搅拌过滤,滤液加热后再加入15%茶油,装瓶高压消毒备用。用时先清创,以消毒的毛笔蘸药液涂抹于创面上,每10~15分钟1次,创面干燥后,改为1~2小时1次,直至痂皮脱落。” ⑿中草药通讯 1972;(5):“治产后宫缩不良与出血:将檵木叶制成注射液(每1ml约含生药5g),肌注,每次4~8ml,每日2~3次。对剖腹产后宫缩不良者,直接注射子宫体,每次10~20ml。” ⒀山东省枣庄市《医药卫生科技资料汇编》1971:“治上消化道出血:取新鲜檵木叶300g洗净,加水至5000ml,煎至1000ml左右。成人每日3次,每次20ml。”

随便看

 

离鸟网收录3541549条中英文词条,其功能与新华字典、现代汉语词典、牛津高阶英汉词典等各类中英文词典类似,基本涵盖了全部常用中英文字词句的读音、释义及用法,是语言学习和写作的有利工具。

 

Copyright © 2004-2024 vtrois.com All Rights Reserved
更新时间:2026/4/7 2:49:51