欧拉求和方法
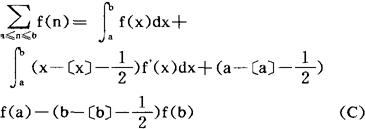
解析数论中的基本方法。 在估计和式乙an时,经常遇到an=f(n)的情形,其中f(x)是一个定义在实轴上的实函数,具有一定的光滑性,或者是单调函数。这时,欧拉求和方法常常是一个有力的工具。 欧拉求和方法的基本思想是,利用关于f(x)的积分来估计和式∑an,这个方法的基本法则如下: (1)设当x≥a0时,f(x)是非负的增函数,则对于任何的实数a,x,x≥a≥a0,有  (2)设当x≤a0时,f(x)是非负的减函数,则对任何的a≤a0,极限  存在,而且 ,其中A定义为:当a是整数,A=a;当a不是整数,A=〔a〕+1。此外,若f(x)还满足条件f(x)=0(1),x→∞,则对于任何的x≥a0+1,有不等式  (3)设f(x)在〔a,b〕上有连续的导数,则有  法则(A)的另一实用形式是 ,其几何意义是:用曲边梯形 的面积来逼近相应的台阶形的面积 ,用它便可以得到估计:当λ≥0时, ; 等,利用法则(B)则可得到以下重要的估计: ,其中γ为欧拉常数;当σ>1,x≥1时, 等,一般地,公式(C)称为欧拉求和公式,它是欧拉求和方法的核心,利用它可以得到许多重要的公式,例如,斯特林公式 ,以及黎曼ξ函数的函数方程 ,其中 是黎曼ξ函数。 |