网站首页  词典首页


请输入您要查询的字词:

 

字词 款冬花
类别 中英文字词句释义及详细解析
释义 款冬花

【名称出处】:《本经》

【概况】:

异名 冬花(《万家抄方》),款花(《疮疡经验全书》),看灯花(《本草崇原集说》),艾冬花(《山西中药志》),九九花(《中药志》)。

基源 为菊科款冬属植物款冬的花蕾。款冬属为单种属植物,并入药。

原植物 款冬Tussilago farfara L.

历史 款冬花为常用中药,《本经》列中品,历代本草均收载,《中国药典1963年版》以来各版都有收载,许多重要医药书籍亦都收载,药材原植物无混乱。

形态 多年生草本。

早春出叶前,由根状茎抽出花葶数枝,长5~10cm,被疏或密的棉毛,具互生鳞片状叶10余片,长椭圆形至披针形,红紫色或淡紫褐色。根状茎横走,褐色,有多数须根。

基生叶于花后生出,叶柄长1~8cm,带红紫色,被白色棉毛;叶片质较厚,宽心形或卵形,长2.5~12cm,宽2~14cm,顶端钝,基部心形或近圆形,边缘浅波状,顶端有增厚呈紫褐色的疏齿,背面灰白色,密被棉毛,掌状网脉,主脉5~9条。头状花序顶生,直径2~2.5cm,总苞筒状钟形,长约10mm,宽约11mm,总苞片1~2层,薄膜质,披针形,顶端尖,常带紫红色,背部有蛛丝状棉毛,花托平,无毛;缘花舌状,雌性,黄色,舌片线形,长5~6mm,花柱伸长,柱头2裂,中央花管状,两性,长约5mm,顶端5裂。瘦果长椭圆形,具纵肋;冠毛长约2mm,淡黄色。花果期1~4月。(图见《中国高等植物图鉴》.第4册.547页 图6507)

生境与分布 生于路旁、河边、沙质地或栽培。分布于中国华北、西北、湖北、湖南、江西、贵州等省区。

印度、伊朗、原苏联、西欧和非洲北部也有分布。

。【生药】:

栽培 宜凉爽湿润的气候,忌高温,怕干旱。

土壤宜深厚肥沃,表土疏松,心土紧实的砂壤土。用根状茎繁殖,在10~11月间冬栽,或保藏至次年3月间春栽。

栽前,将健壮根状茎切成10cm左右长段,按株行距20~25×33cm,深约10cm开沟或开穴。条栽,将根茎平放于沟内;穴栽,每穴栽根状茎1~2段。

栽后覆土压紧,每亩用种量30~40kg。出苗后松土除草、浇水,入冬前结合培土,用厩肥或堆肥追施,以防花蕾出土而变成绿色,影响质量。

入冬后结合田间清洁,刈去枯叶。雨季防止积水。病害有褐斑病和菌核病,用1∶1∶100的波尔多液或65%代森锌可湿性粉剂500倍液防治。虫害蚜虫、金龟子,用40%乐果乳油800倍液、90%晶体敌百虫1000倍液喷杀。

采集 10月下旬至12月下旬在花未出土时采挖,摘取花蕾,去净花梗及泥土,阴干。药材主产于陕西、山西、河南、甘肃、青海、四川、内蒙古。

鉴别

性状 花蕾单生成2~3个基部连生,单个花蕾长圆棒形,上端较粗,下端渐细或带有短柄,长1.0~2.5cm,直径0.5~1cm;表面被有多数鱼鳞状苞片,苞片外表面紫红色或淡红色,内表面被白色絮状茸毛,气香,味微苦而辛。以朵大、色紫红、花梗短者为佳。

显微 粉末棕色。 ❶ 非腺毛极长,1~4细胞,扭曲盘绕成团,直径5~17μm,壁薄。
❷ 腺毛棒槌形,头部稍膨大呈椭圆形,约4~6细胞,柄部多细胞,2列(侧面观现1列)。
❸ 冠毛为多列性分枝状毛,各分枝单细胞,先端渐尖。

❹ 花粉粒类圆球形,具3孔沟,外壁较厚,内外层明显,表面有尖刺,每裂片有5刺。
❺ 花粉囊内壁细胞表面观类长方形,具纵向条状增厚壁。
❻ 苞片表皮表面观细胞类长方形或类多角形,垂周壁薄或略呈连珠状增厚,具细波状角质纹理,边缘的表皮细胞呈绒毛状。气孔圆形或长圆形,副卫细胞4~7个。
❼ 筒状花冠裂片边缘的内表皮细胞长圆形,有角质纹理,近中央的细胞群皱缩并稍突起。
❽ 柱头表皮细胞外壁突起呈乳头状,有的分化成短绒毛状,壁薄。

另可见厚壁细胞、分泌细胞、菊糖。(图见徐国钧《中药材粉末显微鉴定》.393页.图190)

加工炮制 蜜款冬花 取炼蜜用适量开水稀释后,加入款冬花中,拌匀,闷透,置锅内,用文火加热,炒至不粘手为度,取出放凉。每款冬花100kg,用炼蜜25kg。

贮藏 置干燥处,防潮,防蛀;蜜款冬花,密闭,置阴凉干燥处。

。【化学】:

花含款冬二醇(Faradiol,C30H50O2)、山金车二醇(Arnidiol,C30H50O2)、两者为异构体,分离较困难;另含植物甾醇、芸香甙0.36%,金丝桃甙0.28%、蒲公英黄质、鞣质及粘液质[1]

从款冬花中分得一新萜类成分,命名为款冬花素(Farfaratin)[2],以及升高血压的有效成分-款冬酮(Tussilagone)[3],还分得抗血小板活化因子活性成分款冬素(Tussilagin,14-Acetoxy-7β-[3′-ethyl crotonoloxy]-notonipetranone,),甲基丁酸款冬素酯(Tussilaginyl methylbutyrate,14-Acetoxy-7β-[3′ethylcrotonoloxy]-1α-[2′-methylbutyryloxy]-noto-nipetranone),甲基丁酸3,14-Z-去氢款冬素酯(3,14-Dehydro-Z-tussilaginyl methylbutyrate),7β-[3-Ethyl crotonoyloxy]-1α-[2-methylbutyryloxy]-3,14-dehydro-Z-notonipetranone),及β-谷甾醇。

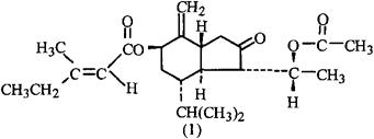
款冬酮绝对构型已经确定[6],款冬素即款冬酮(1)[4,6],款冬花素的化学结构和相对构型与款冬酮相同[7],事实上,Farfaratin和Tussilagin以及Tussilagone均为同一化合物。从花中分得千里光碱、克氏千里光碱(Senkirkine)、新克氏千里光碱(Neosenkirkine)、千里光非灵(Seneciphylline)、全缘千里光碱(Integerrimine)、异款冬素(Isotussilagin)、紫云英素(Astragalin)、3,4-二-O-咖啡酰奎尼酸甲酯(Methyl 3,4-di-O-caffeoyL.quinate)、异槲皮甙和绿原酸[89]

参考文献 [1] 中草药学 下册.江苏科学技术出版社,1987∶1207 [2] 药学学报 1989;24(12)∶913~916 [3] 中国药学文摘 1988;5(5)∶30 [4] 北京医科大学学报 1987;19(1)∶33 [5] 化学学报 1987;4(5)∶405 [6] Eur J Pharmacol 1987;141(2)∶269 [7] 药学学报 1989;24(12)∶913 [8] CA 1994;120∶73418y [9] CA 1994;120∶294198d。【药理】:

❶ 镇咳祛痰 款冬花煎剂1.6g/kg ig,对碘液引咳的麻醉猫有镇咳作用[1]

煎剂1g/kg ig,对麻醉猫有轻微祛痰作用[2]
❷ 对心血管作用 款冬花醇提物0.4~1g/kg、醚提物0.15g/kg iv,均可使麻醉猫血压升高[3]

款冬酮0.2mg/kg iv,可使脊猫血压升高,对离体兔主动脉条有收缩作用,但作用较弱,0.06mg/ml浓度,相当去甲肾上腺素0.24μmol/L的作用,款冬酮的升压作用机制可能与促进神经末梢释放儿茶酚胺类递质与直接收缩血管平滑肌有关[4]
❸ 其他 款冬花中分离得一种倍半萜类成分L-652,469,是一种双重受体拮抗剂,既能抑制血小板活化因子(PAF)、也能抑制钙通道阻滞剂与膜受体的结合;抑制PAF诱导的兔血小板聚集,20或40μmol/L浓度,可使PAF诱导血小板聚集的ED501.2×10-10mol/L提高为1.5或2.7×10-9mol/L;50mg/kgig,对PAF或角叉菜胶诱发大鼠足肿胀均有抑制作用[5]。款冬素(tussilagin)对PAF引起的兔血小板聚集有抑制作用,对钙通道阻滞剂受体结合有阻断活性,其IC50为1μg/ml[6]

毒性 款冬花对小鼠的LD50,煎剂ig为124g/kg,醇提液ig为112g/kg,醚提取物(款E)ip为43g/kg;款E对蛙、蟾蜍、小鼠、大鼠、豚鼠、兔等,均可引起兴奋、痉挛、惊厥死亡[7]

参考文献 [1] 中华医学杂志 1954;40(11)∶849 [2] 中华医学杂志 1954;40(5)∶331 [3] 药学学报 1979;14(5)∶268 [4] 中国药理学报 1986;7(4)∶333 [5] Eur J Pharmacol 1987;141(2)∶269 [6] 北京医科大学学报 1987;19(1)∶33 [7] 中草药通讯 1979;(3)∶28。【药性】:

性味 ❶ 《本经》:“味辛,温。”
❷ 《别录》:“甘。”
❸ 《医学启源》:“辛、苦。”
❹ 《药品化义》:“味微苦、略辛,性平。”
❺ 《全国中草药汇编》:“辛、甘,温。”
❻ 《中国药典1990年版》:“辛、微苦,温。”

归经 入肺经。 ❶ 王好古:“入手太阴经。”
❷ 《雷公炮制药性解》:“入心、肺二经。”

功效 润肺下气,止咳化痰。

主治 新久咳嗽,喘咳痰多,劳嗽咳血。 ❶ 《本经》:“主咳逆上气善喘,喉痹,诸惊痫,寒热邪气。”
❷ 《别录》:“主消渴,喘息呼吸。”
❸ 《药性论》:“主疗肺气心促,急热乏劳,咳连连不绝,涕唾稠粘。治肺痿肺痈吐浓。


❹ 《日华子本草》:“润心肺,益五脏,除烦,补劳劣,消痰止嗽,肺痿吐血,心虚惊悸,洗肝明目及中风。”
❺ 《本草述》:“治痰饮,喑证亦用之。”
❻ 《全国中草药汇编》:“急、慢性支气管炎,肺结核,咳嗽,气喘。”

用法用量 内服:煎汤,4.5~9g;熬膏或入丸、散。

使用注意 ❶ 《本草经集注》:“杏仁为使,得紫菀良。恶皂荚,消石,玄参。畏贝母、辛夷、麻黄、黄芩、黄连、黄耆、青葙。”
❷ 《本经逢原》:“阴虚劳嗽禁用。”
❸ 《本草崇原》:“肺火燔灼,肺气焦满者不可用。”。

【临床应用】:

配伍应用 ❶ 配百合(蒸),治咳嗽不已,或痰中有血。

❷ 配紫菀,治咳嗽痰多、肺虚久咳、劳嗽咯血。
❸ 配杏仁,治痰气郁结的咳嗽气喘。

❹ 配五味子,治湿痰、水饮的咳嗽气喘、吐痰清稀量多等症。

❺ 配百部,治久咳。

❻ 配白前,治气滞痰郁的咳嗽。
❼ 配百合、白及,治肺结核、痰多、咯血。

❽ 配桔梗、薏苡仁,治肺痈咳嗽而胸满振寒、脉数、咽干、大渴、时睡腥臭脓痰。
❾ 配紫菀、知母,治慢性咳嗽气急、痰中带血。

❿ 配百合、麦冬、阿胶,治肺虚久咳、痰中带血等症。

⑾配杏仁、知母、桑白皮,治暴咳。 ⑿配麻黄、细辛、紫菀,治寒饮咳嗽。 ⒀配桑白皮、知母、黄芩,治肺热咳嗽。

⒁配麻黄、杏仁、苏子,治咳嗽气喘、遇冷即发。 ⒂配紫菀、桔梗、甘草,治急、慢性气管炎、咳吐脓痰。 ⒃配杏仁、麻黄、制半夏,治哮喘。 ⒄配紫菀、五味子、肉桂、麻黄,治肺寒痰嗽、咳嗽气喘等症。 ⒅配浙贝母、杏仁、知母、桑白皮,治肺热咳嗽、咯痰不爽、气急胸闷、口干等症。

方选和验方 ❶ 款冬花汤(《圣济总录》)治暴发咳嗽:款冬花60g,桑根白皮(锉)、贝母(去心)、五味子、甘草(炙、锉)各15g,知母0.3g,杏仁(去皮米、炒、研)1g。

上7味,粗捣筛,每服6g,水100ml,煎至70ml,去滓温服。
❷ 款花汤(《疮疡经验全书》)治肺痈咳嗽而胸满振寒,脉数,咽干,大渴,时出浊唾腥臭,臭久吐脓如粳米粥状者:款冬花45g(去梗),甘草30g(炙),桔梗60g,薏苡仁30g。

上作10剂,水煎服。
❸ 款冬花散(《太平惠民和剂局方》)治肺气不利、咳嗽喘满、胸膈烦闷、痰实涎盛,喉中呀呷、鼻塞清涕、头痛眩冒、肢体倦疼、咽嗌肿痛:款冬花、知母、桑叶各300g,姜半夏、甘草、阿胶珠、炒杏仁、炒贝母各600g,麻黄1200g。

为粗末,每服6g,加生姜3片,水煎服。
❹ 款冬花膏(《传信适用方》)治肺虚久嗽:人参、白术、款冬花、炙甘草、炮姜、钟乳粉各15g。

为细末,炼蜜为丸,每服3g,食前米饮送下。
❺ 暑风散(《揣摩有得集》)治小儿夏月风火咳嗽,唇焦口干,发烧,昏迷不醒:款冬花(蜜炙)4.5g,当归、玉竹(蜜炙)、枇杷叶各3g,贝母、生甘草、天竺黄各1.5g,犀角、蔻仁末、橘红各1g,胆南星各0.3g,加藕节1寸。水煎服。

❻ 百花膏(《济生方》)治咳嗽不已,或痰中有血:款冬花、百合(蒸、焙)各等份。为末,炼蜜为丸,如龙眼大,每服1丸,食后临卧细嚼,姜汤咽下,噙化尤佳。
❼ 安眠散(《奇效良方》)治上喘咳嗽、久而不愈者:款冬花、麦门冬(去心)、乌梅肉、佛耳草各7.5g,陈皮(去白)15g,粟壳(蜜炙)23g,甘草(炙)12g。

上为细末,每服9g,水100ml,入黄蜡如枣核许,同煎至80ml,去滓,临睡温服。”
❽ 芦吸散(《张氏医通》)治冷哮寒嗽、喘促痰清:款冬花、川贝母、肉桂、甘草(炙)各9g,煅鹅管石15g。

为细末,每次少许,噙化,每日5~7次。

❾ 百花丸(《北京市中药成方选集》)治肺热虚火、咳嗽痰喘、口干声哑、痰中带血:款冬花、五味子(炙)、紫菀、天花粉、牡丹皮、桔梗、橘皮、麦门冬、前胡、百合、玄参、沙参、薄荷、蒲黄(炒)、杏仁(炒)、柿霜、川贝母各90g。

为细末,炼蜜为丸,每丸重7.5g,每服1丸,温开水送下,每日2次。
❿ 款冬花汤(《中药大全》)治伤风感冒、上呼吸道炎而有喘嗽者:款冬花9g,苦杏仁6g,浙贝母6g,知母6g,桑白皮6g,五味子9g,甘草3g。

水煎服。 ⑾《中医百症用药配伍指南》:“治口中疳疮:款冬花、黄连各等份。为末,用唾津谓成饼子,先以蛇床子煎汤漱口,乃以饼子敷之。

” ⑿冬花汤(四川中医 1989;(3))治小儿顽咳:款冬花5g,川贝、麦冬各3g,甘草2g,冰糖30g。

水煎服。 ⒀江苏中医药 1960;(3):“治百日咳:桑白皮30g,款冬花22.5g,麻黄1.5g,象贝母21g。上6味共研末,分15包,每日3次,每次1包。” ⒁陕西中医药 1985;(6):“治百日咳:百部、款冬花、秦皮各12g,川贝母8g,天竹黄10g。5岁儿童每日1剂,水煎频服。

单方应用 ❶ 《临床常用中药手册》:“治慢性支气管炎,久咳不止:款冬花适量,装入烟斗中,点燃吸之。”
❷ 《临床常用中药手册》:“治痔漏:款冬花花蕾研末水调敷。”。

【医药家论述】:

❶ 贾所学《药品化义》:“冬花,味苦主降,气香主散,一物而两用兼备。故用入肺部,顺肺中之气,又清肺中之血。专治咳逆上气,烦热喘促,痰涎稠粘,涕唾腥臭,为诸证之要剂,如久嗽肺虚,尤不可缺。”
❷ 卢之颐《本草乘雅半偈》:“款冬花用治咳逆上气、善喘,喉痹,因肾苦燥及形寒饮冷,秋伤于湿者始宜。或火热刑金,或肺气焦满,恐益消烁毁伤矣。”
❸ 邹澍《本经疏证》:“紫菀、款冬花,仲景书他处不用,独于肺痿上气咳嗽篇,射干麻黄汤中用之。射干麻黄汤,即小青龙汤去桂枝、芍药、甘草,加射干、紫菀、款冬花、大枣也。

紫菀、款冬虽不得为是方主剂,然局法之转移,实以紫菀、款冬变。故《千金》、《外台》凡治咳逆久嗽,并用紫菀、款冬者,十方而九,则于此方亦不可不为要药矣。

然二物者,一则开结,使中焦之阴化血,一则吸阴下归,究之功力略同,而其异在《千金》、《外台》亦约略可见。盖凡吐脓血失音者,及风寒水气盛者,多不甚用款冬,但用紫菀。

款冬则每同温剂补剂用者为多,是不可得其大旨哉。”
❹ 《本草正义》:“款冬花,主肺病,能开泄郁结,定逆止喘,专主咳嗽,性质功用,皆与紫菀绝似。所以《本经》主治,亦复多同,于寒束肺金之饮邪喘嗽最宜。然气味虽温,润而不燥,则温热之邪,郁于肺经而不得疏泄者,亦能治之,又如紫菀开肺,寒热皆宜之例。特比之紫菀,究是辛温一筹,则火邪郁结,如肺痈成脓、痰红臭秽之候,自当有所顾忌。甄权竟谓其主肺痿肺痈,而景岳、石顽从而和之,殊是未妥。

且石顽亦谓阴虚劳嗽忌之,以其性温也。何独于肺痈而不畏其温?要之,其功用大纲,多似紫菀。”

随便看

 

离鸟网收录3541549条中英文词条,其功能与新华字典、现代汉语词典、牛津高阶英汉词典等各类中英文词典类似,基本涵盖了全部常用中英文字词句的读音、释义及用法,是语言学习和写作的有利工具。

 

Copyright © 2004-2024 vtrois.com All Rights Reserved
更新时间:2026/5/25 9:17:16