网站首页  词典首页


请输入您要查询的字词:

 

字词 正余弦定理的适用题型
类别 中英文字词句释义及详细解析
释义 正余弦定理的适用题型

1.余弦定理的适用题型.

❶ 已知三边,求三角.

❷ 已知两边及其夹角,求第三边.

2.正弦定理的适用题型

❶ 已知两角及一边,求其余的边和角.

❷ 已知两边和一边所对的角,求其余的边和角.

但此种类型有多解的情形,具体解的情况举例说明.

如已知a,b和A求B时,解的情况如下:

A为锐角时,1°a

2°a=bsinA,一解.

3°bsinA

4°a≥b,一解.

A为直角或钝角时,1°a≤b,无解.

2°a>b,一解.

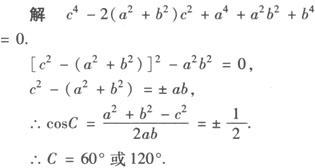
例1 在△ABC中,已知c4—2(a2+b2)c2+a4+a2b2+b4=0,求角C.

分析 将关于三边的等式进行适当变形,利用余弦定理求角.

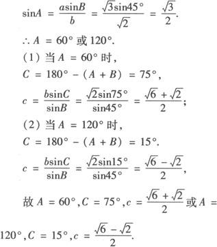
例2 在△ABC中,已知,B=45°,求A、C和c.

分析 这是已知两边一对角解三角形的问题,可用正弦定理求解,但先要判定△ABC是否有解,有几解,亦可用余弦定理求解.

解 ∵B=45°<90°,且b

由正弦定理得

例3 已知圆内接四边形ABCD的边长分别为AB=2,BC=6,CD=DA=4,求四边形ABCD的面积.

解 如图,连结BD,则有四边形ABCD的面积

由余弦定理,在△ABD中

BD2=AB2+AD2—2AB·ADcosA

=22+42—2×2×4cosA

=20—16cosA.

在△CDB中,

BD2=CB2+CD2—2CB·CDcosC

=62+42—2×6×4cosC

=52—48cosC.

∵20—16cosA=52—48cosC,

∵cosC=—cosA,

∴64cosA=—32,cosA=—1/2.

∴A=120°,∴

随便看

 

离鸟网收录3541549条中英文词条,其功能与新华字典、现代汉语词典、牛津高阶英汉词典等各类中英文词典类似,基本涵盖了全部常用中英文字词句的读音、释义及用法,是语言学习和写作的有利工具。

 

Copyright © 2004-2024 vtrois.com All Rights Reserved
更新时间:2026/4/7 8:29:31