正弦和余弦
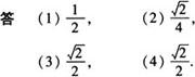
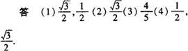
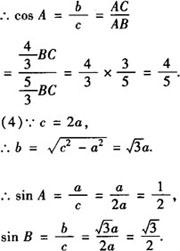
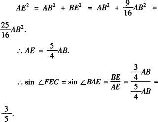
在Rt△ABC中,如果锐角A确定,那么∠A的对边与斜边的比,邻边与斜边的比也随之确定,∠A的对边与斜边的比叫做正弦,记作sinA,即 ;;∠A的邻边与斜边的比叫做∠A的余弦,记作cosA,即 注意 1.sinA,cosA,tanA是完整的符号,它们分别表示∠A的正弦,余弦,正切,记号里习惯省去角的符号“∠”. 2.如果Rt△ABC中∠C=90°,∠A的对边记作a,∠A的邻边记作b,斜边记作c,那么sinA=a/c,cosA=b/c,tanA=a/b. 3.锐角A的正弦,余弦,正切都是∠A的三角函数.其中∠A是自变量,其取值范围是0° 例1 在Rt△ABC中,∠C=90° (1)若a=2,b=4,则tanA=__. (2)若b=3,c=9,则tanB=__. (3)若 ,则tanA=__. (4)若 ,则∠A的正切值为__.   例2 在Rt△ABC中,∠C=90° (1) , ,则sinA=__,sinB=__. (2)若 ,则∠B的余弦值为__. (3)若3AB=5BC,则cosA=__ (4)若c=2a,则sinA=__,sinB=__.    例3 矩形ABCD中,E为BC上一点,F为CD上一点且AE⊥EF,若BE=3/4AB.  求sin∠FEC,cos∠FEC,tan∠FEC. 解 ∵AE⊥EF, ∴∠AEF=90°. ∴∠FEC+∠BEA=90°. ∵矩形ABCD, ∴∠B=90°. ∴∠BEA+∠BAE=90°. ∴∠FEC=∠BAE. 在Rt△ABE中,由勾股定理可得   例4 已知:Rt△ABC中,∠C=90°,cosA=12/13,求sinB,cosB,tanB. 解:Rt△ABC中,∠C=90°.  设AC=12k,AB=13k  例5 在Rt△ABC中,各边都扩大10倍,锐角A的正弦值、余弦值、正切值( ). A.没有变化 B.都扩大10倍 C.都缩小1/10 D.不能确定 答 A. [解析] sinA=a/c,cosA=b/c,tanA=a/b虽然各边都扩大10倍,但比值不变. |