正态分布
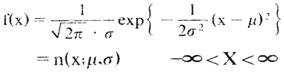
亦称“常态分布”、“钟形分布”、“高斯分布”、“高斯——拉普拉斯分布”等。 它最初由法国数学家德·莫佛尔(De Moivre)作为二项分布的极限形式推出。而后德国数学家高斯(Gauss)在研究误差理论时,对其分布形式及其性质进一步研究,建立了正态分布理论。 正态分布是连续型随机变量分布中最重要的一种分布。 它的密度函数是:  μ是随机变量X的均值,σ是标准差,记作X~N(μ,σ2)。当μ=0,σ=1时,相应的分布N(0,1)称为标准正态分布。在实际生活中,许多随机变量,如成年人的身高、体重、智商、骨骼的长度服从正态分布;海洋上波浪高度、积雪厚度服从正态分布;电子元件中热噪声、电流、电压服从正态分布;纤维长度、粮食作物产量服从正态分布;所有的试验、观测和测量误差都服从正态分布。 该分布的重要性还表现为它是二项分布、普阿松分布等的渐近形式,并且由它可以派生出t分布、x2分布、F分布,以及这三种分布的非中心分布。 |