正态分布
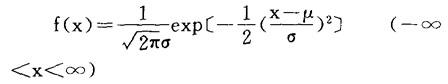
亦称"高斯分布"或"拉普拉斯分布"。 其概率密度函数为  取y=f(x)作图,可描出正态分布的曲线,该曲线有下列特性: (1)为单峰对称曲线,对称轴是x=μ; (2)在x=μ±σ处有拐点; (3)以全曲线与x轴所围面积等于1。该分布期望值E(x)=μ,方差D(x)=σ2,偏度γ1=μ3/σ3=0,峰度γ2=μ4/σ4-3=0,矩母函数M(θ)=exp(μθ+ )。 正态分布是最常见的也是最重要的一种分布。不少社会现象、自然技术现象的分布与之相近。 在一般假定下,它是n个独立随机变量之和且当n充分大时的极限分布。 |