死亡概率
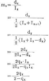
亦称“死亡机率”。 指一定期间(通常为一年)同年龄的一批人,从一个年龄组转移到另一个年龄组时死去人数与尚存人数之比。表明死亡可能性的相对指标。它和尚存概率是互为补数的两个指标。 死亡概率和年龄别死亡率不同,前者是指某年龄组死亡人数与该年龄尚存人数之比;而后者则是指某年龄组死亡人数与该年龄组年平均生存人数之比。 用公式表示为:   该年龄死亡人数(dx)=该年龄死亡概率(qx)×该年龄尚存人数(Ix) =qx·Ix 将某年龄死亡概率(qx)公式代入某年龄别死亡率(mx)公式,则得各年龄死亡概率。计算公式为:  上式的来源为:  或:  由于: qx+px(尚存概率)=1 则: qx=1-px 即死亡概率等于1减尚存概率。 |