网站首页  词典首页


请输入您要查询的字词:

 

字词 母函数(概率论)
类别 中英文字词句释义及详细解析
释义 母函数(概率论)

19世纪初由拉普拉斯引进,是概率论中第一个被系统应用的变换法,是研究非负整值随机变量极其有用的工具。

是一非负数列,可定义与其相关的母函数为

若随机变量ξ取非负整数值,相应的分布序列为,则的母函数就定义为数列

的母函数,

母函数由分布列唯一确定,反之,分布列亦可由母函数唯一确定。这样,对非负整数值随机变量的研究可以转换为对其母函数的研究。

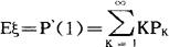
由母函数可以求得分布的特征数:

当方差D存在时,

随便看

 

离鸟网收录3541549条中英文词条,其功能与新华字典、现代汉语词典、牛津高阶英汉词典等各类中英文词典类似,基本涵盖了全部常用中英文字词句的读音、释义及用法,是语言学习和写作的有利工具。

 

Copyright © 2004-2024 vtrois.com All Rights Reserved
更新时间:2026/4/6 13:33:14