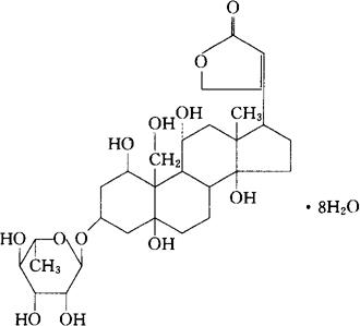
毒毛旋花子甙G
C29H44O12·8H2O=728.78 CAS-11018-89-6 3β-[(6-去氧-α-吡喃甘露糖基)氧]-1β,5β,11α,14,19-五羟卡甾-20(22)-烯内酯八水化合物。 3β-[(6-Deoxy-α-mannopyranosyl)oxy]-1β,5β,11α,14,19-pentahydroxy-card-20(22)-enolide octahydrate. 毒毛旋花子苷G。 强心药。 用于急性充血性心力衰竭。 苦毒毛旋花子甙,哇巴因。 Strophantin,Strophantin G,Ouabain,G-Strophanthoside. DCIT,FP,IP,JP,GFP,NP,PH,USAN,USP.  |