网站首页  词典首页


请输入您要查询的字词:

 

字词 比他舍平
类别 中英文字词句释义及详细解析
释义 比他舍平

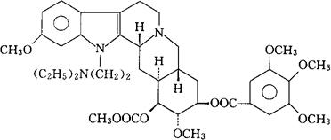
C39H53N3O9=707.86

CAS-53-18-9

1α,2β,3a,4,4aa,5,7,8,13,13bβ,14,14aa-十二氢-1-(2-二乙氨基乙基)-2,11-二甲氧基-3β-(3,4,5-三甲氧苯甲酰氧)-苯并[g]吲哚-[2,3-a]喹嗪-1β-羧酸甲酯。

1α,2β,3α,4,4aα,5,7,8,13,13bβ,14,14aα-Dodecahydro-1-(2-diethylaminoethyl)-2,11-dimethoxy-3β-(3,4,5-trimethoxybenzoyloxy)-benz[g]indole-[2,3-a]quinolizine-1β-carboxylate methyl ester.

1-[2-(二乙氨基)乙基]-11,17二甲氧基-18-[(3,4,5-三甲氧苯甲酰基)氧基]育亨烷基-16-羧酸甲酯。

1-[2-(Diethylamino)ethyl]-11,17-dimethoxy-18-[(3,4,5-trimethoxybenzoyl)oxy]yohimban-16-carboxylic acid methyl ester.

抗高血压药。

Bietaserpine,DL 152,S-1210.

INN,DCF,USAN,MI.

随便看

 

离鸟网收录3541549条中英文词条,其功能与新华字典、现代汉语词典、牛津高阶英汉词典等各类中英文词典类似,基本涵盖了全部常用中英文字词句的读音、释义及用法,是语言学习和写作的有利工具。

 

Copyright © 2004-2024 vtrois.com All Rights Reserved
更新时间:2026/4/7 1:14:36