网站首页  词典首页


请输入您要查询的字词:

 

字词 比例电磁铁的工作原理与性能特性
类别 中英文字词句释义及详细解析
释义 比例电磁铁的工作原理与性能特性

(1)组成与工作原理

尽管国内外比例电磁铁品种繁多,但其基本结构和工作原理大体相同,见图21.3-1(a)。

(a)基本结构;(b)位移—力特性

1-推杆;2-弹簧;3-调节螺钉;4-衔铁;5-轴承套;6-导磁外壳;7-隔磁环;8-导套;9-前端盖;10-限位片;11-线圈

导套8分为前后两端,由导磁材料制成,中间由一段非导磁材料制成的隔磁环7连接。导套前段与前端盖9组合,形成带锥形端部的盆形极靴。导套可承受35MPa静压力。导套内孔与轴承套5配合,形成轴向移动轴承副。轴承套用低摩擦、非导磁材料做成,固定在衔铁4外周。导套与导磁外壳体6之间装入同心螺线管式控制线圈11。衔铁前端的推杆1用来输出力或位移;后端装有由弹簧2和调节螺钉3组成的调零机构,可在一定范围内调整电磁铁的特性曲线。

比例电磁铁的磁路见图21.3-2(a)。在线圈电流控制磁势作用下,总磁通形成两条磁路。一条磁路Φ1由盆形极靴底部沿轴向进入衔铁,穿过导套后段、导磁外壳,回到前端盖。另一条磁路Φ2经盆形极靴锥形周边,径向穿过导套后段进入衔铁,与Φ1汇合。Φ1磁通产生端面力FM1,Φ2磁通产生附加轴向力FM2。两者叠加得到比例电磁铁的输出力。

(a)磁路示意图;(b)位移-力特性

在比例电磁铁的整个行程内,位移—力特性可以分为三个部分,如图21.3-1(b)。在工作气隙接近于零的区段Ⅰ,输出力急剧上升。这一行程区段不能正常工作,一般用非导磁材料的限位片10将其排除。当气隙过大时,电磁铁输出力明显下降,这一区段Ⅲ称为空行程区。电磁力与衔铁位移关系呈水平线的区段Ⅱ为工作区。盆形极靴的尺寸,对磁路起作用,决定电磁铁的静态特性曲线形状。因此这部分几何尺寸及形状需经优化设计和实验确定,是比例电磁铁设计的一项重要内容。

(2)比例电磁铁的性能特性

作为电液比例控制阀的前置级(阀的电—机转换装置),比例电磁铁的性能对阀的性能有十分重要的影响。液压比例控制阀对比例电磁铁提出的主要要求是:

·有足够的输出力或位移,并且有水平的位移—力特性和线性的电流—力特性。

·线性度好,死区小,滞环小,灵敏度高。

·具有一定的频率响应。

A.比例电磁铁的静态特性

静态特性主要指比例电磁铁的位移—力特性和电流—力特性。比例电磁铁的典型静态特性见图21.3-3。

(a)行程—力特性;(b)电流—力特性

由静态特性曲线可以得到比例电磁铁的下列功能参数和静态性能指标:行程、吸力、力滞环、电流滞环、额定电流、线性度和重复精度等。

比例电磁铁的主要功能参数和性能指标定义如下:

行程 比例电磁铁衔铁在工作区最大的位移量。

吸力 比例电磁铁在工作区内最大的输出电磁力。

力滞环 电流由小到大和由大到小两种情况下,同一电流值所对应的两电磁力之差。

电流滞环 电流由小到大和由大到小两种情况下,同一电磁力所对应的两电流值之差。

额定电流 能满足电流—力特性线性度要求的最大电流值。

线性度 稳态时电流—力特性对名义特性曲线的最大偏差量与额定输入电流对起始电流差值之比。

重复精度 连续作用方向重复所得电流—力特性曲线之间,相同输出量所对应的控制电流信号的最大差值与额定输入电流之比。

由于磁铁材料的磁滞和运动摩擦力,导致电磁铁静态特性有明显滞环。用在控制信号上叠加颤振信号的办法,使衔铁发生小振幅颤振,变静摩擦为动摩擦,可有效降低摩擦引起的滞环,见图21.3-3,同时也可减少材料的磁滞引起的滞环。颤振信号的振幅应要足以消除磁滞滞环的影响,其频率约为控制频率的3~5倍。

位置调节型比例电磁铁增加了位置反馈,构成位置控制闭环,因此当控制电信号一定时,无论与负载匹配的电磁力如何变化,其输出位移都能保持不变。这种比例电磁铁具有很高的定位精度和位移力增益,负载刚度很高,抗干扰能力强,无须增加颤振信号其静态特性曲线就有很好的线性度和较小的滞环。

B.比例电磁铁的动态特性

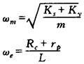
图21.3-4为比例电磁铁空载时的传递函数方块图。

ui——输入电压增量;

△uc——电磁铁线圈端电压增量;

△i——线圈电流增量;

△Fem——电磁力增量;

——电磁铁位移力增益;

Ksy——调零弹簧刚度;

Kfi——电流反馈系数;

△y——输出位移增量;

L——线圈电感;

Ke——线圈感应反电势系数

ωe——控制线圈的转折频率

Ku——放大器电压放大系数;

Rc,rp——线圈和放大器内阻;

Ki——比例电磁铁电流力增益;

Ks——衔铁组件弹簧刚度;

ζm——衔铁组件的无因次阻尼比;

D——阻尼系数;

m——衔铁组件质量;

ωm——衔铁组件弹簧质量系统固有频率;

比例电磁铁的线圈电感较大,转折频率较低。为提高动态性能,应在保证稳定和可靠性的前提下,尽量采用较少的线圈匝数和较大的电流值,以提高响应。比例放大器的电压放大系数受输入信号可靠性和放大器电源电压标准化等原因限制,远比伺服放大器低,故电气一阶环节的时间常数仍不能完全忽略。电流一力转换可以看成是有纯滞后的一阶环节。位置反馈闭环对提高工作频宽有一定效果。

随便看

 

离鸟网收录3541549条中英文词条,其功能与新华字典、现代汉语词典、牛津高阶英汉词典等各类中英文词典类似,基本涵盖了全部常用中英文字词句的读音、释义及用法,是语言学习和写作的有利工具。

 

Copyright © 2004-2024 vtrois.com All Rights Reserved
更新时间:2026/5/30 10:09:14