网站首页  词典首页


请输入您要查询的字词:

 

字词 比尼司特
类别 中英文字词句释义及详细解析
释义 比尼司特

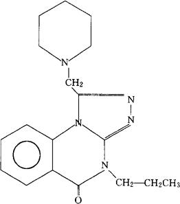
C18H23N5O=325.41

CAS-86662-54-6

1-(哌啶甲基)-4-丙基-s-三唑并[4.3-a]喹唑啉-5(4H)-酮。

1-(Piperidinomethyl)-4-propyl-s-triazolo[4.3-a]quinazolin-5(4H)-one.

抗过敏药。

Binizolast.

INN,USAN.

随便看

 

离鸟网收录3541549条中英文词条,其功能与新华字典、现代汉语词典、牛津高阶英汉词典等各类中英文词典类似,基本涵盖了全部常用中英文字词句的读音、释义及用法,是语言学习和写作的有利工具。

 

Copyright © 2004-2024 vtrois.com All Rights Reserved
更新时间:2026/4/7 15:25:10