网站首页  词典首页


请输入您要查询的字词:

 

字词 比湿
类别 中英文字词句释义及详细解析
释义 比湿

在一团湿空气中,水汽质量mv与该团空气的总质量(水汽质量加上干空气质量md)的比值。

即:

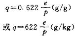
式中q为比湿。其单位为g/g,g/kg(或每千克)。比湿可用下式计算:

式中水汽压e和气压p需取相同单位。对于某一团空气而言,只要其中的水汽质量和干空气质量保持不变,不论它发生膨胀或压缩,体积如何变化,其比湿均保持不变。

因此在讨论空气的垂直运动时,通常用比湿来表示空气的湿度。

随便看

 

离鸟网收录3541549条中英文词条,其功能与新华字典、现代汉语词典、牛津高阶英汉词典等各类中英文词典类似,基本涵盖了全部常用中英文字词句的读音、释义及用法,是语言学习和写作的有利工具。

 

Copyright © 2004-2024 vtrois.com All Rights Reserved
更新时间:2026/5/28 15:35:47