网站首页  词典首页


请输入您要查询的字词:

 

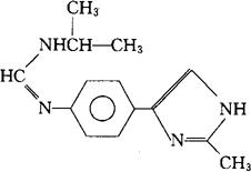
字词 比芬替丁
类别 中英文字词句释义及详细解析
释义 比芬替丁

C14H18N4=242.32

CAS-96153-56-9

N-异丙基-N′-[对-(2-甲基咪唑-4-基)苯基]甲脒。

N-Isopropyl-N′-[p-(2-methylimidazol-4-yl)phenyl]formamidine.

组胺H2-受体阻滞药。

Bisfentidine.

INN,USAN.

随便看

 

离鸟网收录3541549条中英文词条,其功能与新华字典、现代汉语词典、牛津高阶英汉词典等各类中英文词典类似,基本涵盖了全部常用中英文字词句的读音、释义及用法,是语言学习和写作的有利工具。

 

Copyright © 2004-2024 vtrois.com All Rights Reserved
更新时间:2026/4/6 20:34:15