毛布的标准线弯斜的调整规律
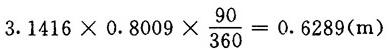
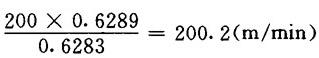
【说明】 毛布标准线是指横贯整幅毛布的带颜色的纬线,毛布标准线弯曲妨碍毛布正常滤水,尤其是小范围内的较大弯曲对滤水的阻力更大,这是因为毛布的孔眼被拉斜而闭塞所造成的。发生压花时,特别是在标准线弯曲的部位压花时,要对弯曲的标准线进行校直,毛布用旧即将更换前更应及时的校直弯曲的标准线。但对于针刺毛布,因其在缩呢时标准线往往也会变弯,上机后如不影响滤水,不必进行调整。 毛布的标准线弯斜的调整,往往靠用一只被毛布包绕的辊子去改变毛布标准线的形状,这时,应注意两项规则,现以实例计算说明如下。 1.规则一 【说明】 如果沿辊宽上某一段的表面速度快于其他区域,则与辊子较快的运行表面相接触的毛布的那部分就超前运行。 【例】 假设有一只直径为0.8m,中高为0.0009m的压榨辊,在200m/min的车速下运行,毛布长度为16m,毛布包绕中高辊成90°,则: 任一瞬间在辊边处与辊子接触的毛布长度为:  在辊子中央,辊径从0.8m变成0.8009m,此处与辊子接触的毛布长度为:  如果辊端的表面速度为200m/min,则辊子中央的速度为:  若不计打滑,在毛布上将有一个相应的速度差,所以毛布的中央标准线将以超前0.2m/min的速度运行。 2.规则二 【说明】 如果毛布的长度在其幅宽上的某一点比别的地方短,则毛布在较短部位的那部分就超前运行。反之,在较长的部位上,毛布就滞后运行。 【例】 假设绕行上例中压榨的毛布长度在辊端上为16m,则辊子中央毛布的长度为: 16+(0.6289-0.6283)=16.0006(m) 所以,在辊子的中央毛布将滞后,毛布每运行一周将滞后0.0006m。车速为200m/min时,其滞后:  【讨论】 从以上计算不难看出,第一条规则的效果比第二条规则的相反的效果要大。辊子中心处的毛布标准线以向前0.2m/min与滞后0.0075m/min之差超前运行。运行速度为: 200+(0.2—0.0075)=200.1925(m/min) |