网站首页  词典首页


请输入您要查询的字词:

 

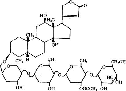
字词 毛花甙丙
类别 中英文字词句释义及详细解析
释义 毛花甙丙

C49H76O20=985.14

CAS-17575-22-3

由毛花洋地黄中提出的-种具有快速强心作用的结晶性甙。

用于心力衰竭、心房颤动和阵发性室性心动过速。

心血管病药。

毛花甙C,毛花丙甙,西地兰C。

Digilanide C,Lanatoside C,Isolanid.

毛花甙丙片。

INN,BAN,BP,DCF,IP,JP,NF,NFN,USAN,USSRP,MI.

随便看

 

离鸟网收录3541549条中英文词条,其功能与新华字典、现代汉语词典、牛津高阶英汉词典等各类中英文词典类似,基本涵盖了全部常用中英文字词句的读音、释义及用法,是语言学习和写作的有利工具。

 

Copyright © 2004-2024 vtrois.com All Rights Reserved
更新时间:2026/4/7 12:29:10