气体的饱和异常
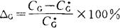
表示海水中的非活性气体在各种物理过程影响下,其浓度偏离溶解度的状况。 其大小用饱和异常△G表示。它与气体浓度的测定值CG、气体在海水中的溶解度 的关系如下:  引起非活性气体饱和异常的物理过程有: ❶ 平衡时与标准大气压的偏离; ❷ 空气泡的部分溶解; ❸ 空气注入; ❹ 微分热和气体交换; ❺ 不同温度水团的混合; ❻ He的放射补充或原生补充。下表汇集了一些气体在特定条件下的△空气。 溶解于饱和海水中和在干燥空气中各种气体的克分子分数(f)和每千克海水中注入1立方厘米(在标准温度和压力下)的空气所引起的饱和异常△空气(所有海水的体积都换算成15℃和盐度35时的体积) 
|