网站首页  词典首页


请输入您要查询的字词:

 

字词 氟可龙
类别 中英文字词句释义及详细解析
释义 氟可龙

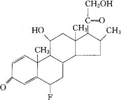
C22H29FO4=376.47

CAS-152-97-6

(6α,11β,16α)-6-氟-11,21-二羟-16-甲基-孕甾-1,4-二烯-3,20-二酮。

(6α,11β,16α)-6-Fluoro-11,21-dihydroxy-16-methylpregna-1,4-diene-3,20-dione.

6α-氟-11β,21-二羟基-16α-甲基孕甾-1,4-二烯-3,20-二酮。

6α-Fluoro-11β,21-dihydroxy-16α-methylpregna-1,4-diene-3,20-dione.

皮质激素类药。

氟可托龙。

Fluocortolone,Ultralan,Orol.

INN,BAN,BP,DCF,DCIT,NFN,USAN,MI.

随便看

 

离鸟网收录3541549条中英文词条,其功能与新华字典、现代汉语词典、牛津高阶英汉词典等各类中英文词典类似,基本涵盖了全部常用中英文字词句的读音、释义及用法,是语言学习和写作的有利工具。

 

Copyright © 2004-2024 vtrois.com All Rights Reserved
更新时间:2026/4/8 5:38:47