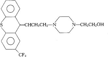
氟哌噻吨[中]
C23H25F3N2OS=434.52 CAS-2709-56-0 4-[3-[2-(三氟甲基)-9H-噻吨]-9-亚基丙基]-1-哌嗪乙醇。 4-[3-[2-(Trifluoromethyl)-9H-thioxanthen]-9-ylidenepropyl]-1-piperzineethanol. 2-三氟甲基-9-[3-[4-(2-羟乙基)哌嗪-1-基]亚丙基]噻吨。 2-Trifluoromethyl-9-[3-[4-(2-hydroxyethyl)piperazin-1-yl]-propylidene]thioxanthene. 安定药。用于急慢性精神分裂症。 三氟噻吨,羟哌氟丙硫蒽。 Flupenitixol,Emergil,Metamin,Phrenixol Siplaril,Siplarol,Fx 703,Lc 44,Lu 5-110,N 7009,SKF 10812. INN,BAN,DCF,DCIT,JAN,USAN,MI. 
|