网站首页  词典首页


请输入您要查询的字词:

 

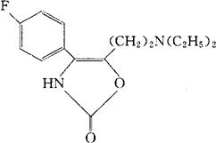
字词 氟唑培林
类别 中英文字词句释义及详细解析
释义 氟唑培林

C15H19FN2O2=278.33

CAS-52867-77-3

5-[2-(二乙氨基)乙基]-4-(对-氟苯基)-4-噁唑啉-2-酮。

5-[2-(Diethylamino)ethyl]-4-(p-fluorophenyl)-4-oxazolin-2-one.

抗心律失常药,抗抑郁药。

Fluzoperine.

INN,USAN.

随便看

 

离鸟网收录3541549条中英文词条,其功能与新华字典、现代汉语词典、牛津高阶英汉词典等各类中英文词典类似,基本涵盖了全部常用中英文字词句的读音、释义及用法,是语言学习和写作的有利工具。

 

Copyright © 2004-2024 vtrois.com All Rights Reserved
更新时间:2026/5/25 13:31:30