网站首页  词典首页


请输入您要查询的字词:

 

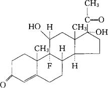
字词 氟孕酮
类别 中英文字词句释义及详细解析
释义 氟孕酮

C21H29FO4=364.46

CAS-337-03-1

9α-氟-11β,17α-二羟-4-孕烯-3,20-二酮。

9α-Fluoro-11β,17α-dihydroxy-4-pregnene-3,20-dionerine.

孕激素类药。

Flugestone,Fluorogestone.

INN(Flugestone acetate),BAN,USAN.

随便看

 

离鸟网收录3541549条中英文词条,其功能与新华字典、现代汉语词典、牛津高阶英汉词典等各类中英文词典类似,基本涵盖了全部常用中英文字词句的读音、释义及用法,是语言学习和写作的有利工具。

 

Copyright © 2004-2024 vtrois.com All Rights Reserved
更新时间:2026/5/25 23:23:14