氟曲尼嗪
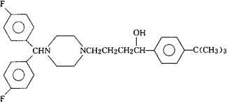
C31H38F2N2O=492.65 CAS-82190-92-9 (±)-4-[双(对-氟苯基)甲基]-α-(对-叔-丁苯基)-1-哌嗪丁醇。 (±)-4-[bis(p-Fluorophenyl)methyl]-α-(p-tertbutylphenyl)-1-piperazinebutanol. 4-[双-(4-氟苯基)甲基]-α-[4-(1,1-二甲乙基)苯基]-1-哌嗪丁醇。 4-[bis-(4-Fluorophenyl)methyl]-α-[4-(1,1-dimethylethyl)phenyl]-1-piperazinebutanol. 抗组胺药,血管扩张药,镇吐药,抗过敏药。 Flotrenizine. INN,USAN. 
|