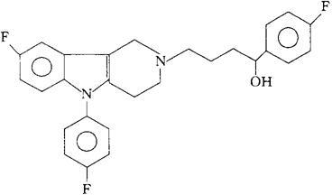
氟曲林
C27H25F3N2O=450.50 CAS-70801-02-4 (±)-8-氟-α,5-双(4-氟苯基)-1,3,4,5-四氢-2H-吡啶并[4,3-b]吲哚-2-丁醇。 (±)-8-Fluoro-α,5-bis(4-fluorophenyl)-1,3,4,5-tetrahydro-2H-pyrido[4,3-b]indole-2-butanol. (±)-8-氟-α,5-双(对-氟苯基)-1,3,4,5-四氢-2H-吡啶并[4,3-b]-吲哚-2-丁醇。 (±)-8-Fluoro-α,5-bis(p-fluorophenyl)-1,3,4,5-tetrahydro-2H-pyrido[4,3-b]-indole-2-butanol. 安定药。 Flutroline,CP-36,584. INN,USAN. 
|