网站首页  词典首页


请输入您要查询的字词:

 

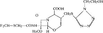
字词 氟氧头孢
类别 中英文字词句释义及详细解析
释义 氟氧头孢

C15H18F2N6O7S2=496.46

CAS-99665-00-6

(-)-(6R,7R)-7-[2-[(二氟甲基)硫代]乙酰胺基]-3-[[[1-(2-羟乙基)-1H-四唑-5-基]硫代]甲基]-7-甲氧基-8-氧代-1氮杂双环-[4.2.0]辛-2-烯-2-羧酸。

(-)-(6R,7R)-7-[2-[(Difluoromethyl)thio]acetamido]-3-[[[1-(2-hydroxyethyl)-1H-tetrazol-5-yl]thio]methyl]-7-methoxy-8-oxo-1-azabicyclo[4.2.0]oct-2-ene-2-carboxylic acid.

抗生素类药。

Flomoxef,6315S.

INN,USAN.

随便看

 

离鸟网收录3541549条中英文词条,其功能与新华字典、现代汉语词典、牛津高阶英汉词典等各类中英文词典类似,基本涵盖了全部常用中英文字词句的读音、释义及用法,是语言学习和写作的有利工具。

 

Copyright © 2004-2024 vtrois.com All Rights Reserved
更新时间:2026/4/7 10:55:49