网站首页  词典首页


请输入您要查询的字词:

 

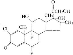
字词 氟氯米松[中]
类别 中英文字词句释义及详细解析
释义 氟氯米松[中]

C22H27ClF2O5=444.90

CAS-50629-82-8

2-氯-6α,9-二氟-11β,17,21-三羟-16α-甲基孕甾-1,4-二烯-3,202-二酮。

2-Chloro-6α,9-difluoro-11β,17,21-trihydroxy-16α-methylpregna-1,4-diene-3,20-dione.

皮质激素类药。

卤米松。

Halometasone,Sicorten.

INN,USAN,MI.

随便看

 

离鸟网收录3541549条中英文词条,其功能与新华字典、现代汉语词典、牛津高阶英汉词典等各类中英文词典类似,基本涵盖了全部常用中英文字词句的读音、释义及用法,是语言学习和写作的有利工具。

 

Copyright © 2004-2024 vtrois.com All Rights Reserved
更新时间:2026/4/9 16:08:25