网站首页  词典首页


请输入您要查询的字词:

 

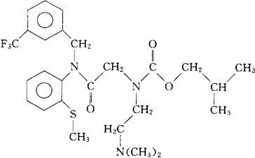
字词 氟沙地尔
类别 中英文字词句释义及详细解析
释义 氟沙地尔

C26H34F3N3O3S=525.63

CAS-11359-34-3

[2-(二甲氨基)乙基][[[邻-(甲硫基)苯基][间-(三氟甲基)苄基]氨基甲酰]甲基]氨基甲酸异丁酯。

Isobutyl[2-(dimethylamino)ethyl][[[o(methylthio)phenyl][m-(trifluoromethyl)benzyl]carbamoyl]methyl]carbamate.

血管扩张药。

Flosatidil.

INN,USAN.

随便看

 

离鸟网收录3541549条中英文词条,其功能与新华字典、现代汉语词典、牛津高阶英汉词典等各类中英文词典类似,基本涵盖了全部常用中英文字词句的读音、释义及用法,是语言学习和写作的有利工具。

 

Copyright © 2004-2024 vtrois.com All Rights Reserved
更新时间:2026/5/25 11:15:13