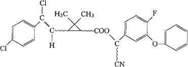
氟甲司林
C28H22Cl2FNO3=510.39 CAS-59770-45-2 α-氰基-4-氟-3-苯氧苄基-3-(β,4-二氯苯乙烯基)-2,2-二甲基环丙烷羧酸酯。 α-Cyano-4-fluoro-3-phenoxybenzyl-3-(β,4-dichlorostyryl)-2,2-dimethylcyclopropanecarboxylate. 氰基-[4-(氟-3-苯氧苯基)甲基3-[2-氯-2-(4-氯苯基)乙烯基]-2,2-二甲基]环丙烷羧酸酯。 Cyano-[4-(fluoro-3-phcnoxyphenyl)methy3-[2-chloro-2-(4-chlorophenyl)ethenyl]-2,2-dimethyl]cyclopropanecarboxylate. 杀虫药。 Flumethrin,BAYVI 6045. BAN,USAN,MI.  |