氟索洛尔
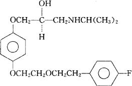
C22H30FNO4=391.48 CAS-84057-96-5 (S)-1-[对-[2-[(对-氟苯乙基)氧]乙氧]苯氧]-3-异丙氨基-2-丙醇。 (S)-1-[p-[2-[(p-Fluorophenethyl)oxy]ethoxy]phenoxy]-3-(iso-propylamino)-2-propanol. 1-[4-[2-[2-(对-氟苯基)乙氧]乙氧]苯氧]-3-[(1-甲基乙基)氨基]-2-丙醇。 1-[4-[2-[2-(4-Fluorophenl)ethoxy]ethoxy]phenoxy]-3-[(1-methylethyl)amino]-2-propanol. β-受体阻滞药。 Flusoxolol,Ro 311411. INN,BAN,USAN.  |