网站首页  词典首页


请输入您要查询的字词:

 

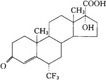
字词 氟美烯酮
类别 中英文字词句释义及详细解析
释义 氟美烯酮

C22H29F3O3=398.46

CAS-15687-21-5

17-羟-6α-(三氟甲基)孕甾-4-烯-3,20-二酮。

17-Hydroxy-6α-(trifluoromethyl)pregn-4-ene-3,20-dione.

抗偏头痛药。

Flumedroxone,WG 537(As acetate).

INN,BAN,USAN.

随便看

 

离鸟网收录3541549条中英文词条,其功能与新华字典、现代汉语词典、牛津高阶英汉词典等各类中英文词典类似,基本涵盖了全部常用中英文字词句的读音、释义及用法,是语言学习和写作的有利工具。

 

Copyright © 2004-2024 vtrois.com All Rights Reserved
更新时间:2026/4/7 6:03:26